Online Database of Chemicals from Around the World

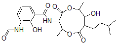
3-Formamido-2-Hydroxy-N-[7-Hydroxy-2,6-Dimethyl-8-(3-Methylbutyl)-4,9-Dioxo-1,5-Dioxonan-3-Yl]Benzamide
[CAS 148163-08-0]

Suppliers
CAS#: 148163-08-0
Product: 3-Formamido-2-Hydroxy-N-[7-Hydroxy-2,6-Dimethyl-8-(3-Methylbutyl)-4,9-Dioxo-1,5-Dioxonan-3-Yl]Benzamide
No suppilers available for the product.
Identification
Name 3-Formamido-2-Hydroxy-N-[7-Hydroxy-2,6-Dimethyl-8-(3-Methylbutyl)-4,9-Dioxo-1,5-Dioxonan-3-Yl]Benzamide
Synonyms 3-Formamido-2-Hydroxy-N-(7-Hydroxy-8-Isopentyl-2,6-Dimethyl-4,9-Dioxo-1,5-Dioxonan-3-Yl)Benzamide; 3-Formamido-2-Hydroxy-N-(8-Hydroxy-7-Isoamyl-2,6-Diketo-4,9-Dimethyl-1,5-Dioxonan-3-Yl)Benzamide; Benzamide, 3-(Formylamino)-2-Hydroxy-N-(7-Hydroxy-2,6-Dimethyl-8-(3-Methylbutyl)-4,9-Dioxo-1,5-Dioxonan-3-Yl)-
Molecular Structure CAS#: 148163-08-0, 3-Formamido-2-Hydroxy-N-[7-Hydroxy-2,6-Dimethyl-8-(3-Methylbutyl)-4,9-Dioxo-1,5-Dioxonan-3-Yl]Benzamide
Molecular Formula C22H30N2O8
Molecular Weight 450.49
CAS Registry Number 148163-08-0
SMILES C2=C(C(NC1C(OC(C(O)C(C(OC1C)=O)CCC(C)C)C)=O)=O)C(=C(NC=O)C=C2)O
InChI 1S/C22H30N2O8/c1-11(2)8-9-15-18(26)13(4)32-22(30)17(12(3)31-21(15)29)24-20(28)14-6-5-7-16(19(14)27)23-10-25/h5-7,10-13,15,17-18,26-27H,8-9H2,1-4H3,(H,23,25)(H,24,28)
InChIKey KJGZFCSJCWHCFC-UHFFFAOYSA-N
Properties
Density 1.305g/cm3 (Cal.)
Boiling point 744.151°C at 760 mmHg (Cal.)
Flash point 403.848°C (Cal.)
Market Analysis Reports
Related Products
4-Formamidobenz...  2-Formamidobenz...  2-Formamidobuta...  1-Formamidocycl...  1-Formamidocycl...  (1S)-1-Formamid...  2-Formamido-4,4...  N-(1-Formamidoe...  2-Formamido-3-h...  5-Formamido-2-H...  3-Formamido-4-H...  5-Formamidoimid...  4-Formamido-1H-...  (1S,2R)-1-Forma...  3-Formamido-4-M...  1-(Formamidomet...  (1S,2S)-1-Forma...  4-[[4-[(4-Forma...  (2S)-2-[[(2S)-2...  2-Formamido-4-N...