Online Database of Chemicals from Around the World

2-Methyl-2-Propanyl 2-Butylhydrazinecarboxylate
[CAS 149268-06-4]

Suppliers
Atomax Chemicals Co., Ltd. China
+86 13417589054/
info@atomaxchem.com,atomax.chemicals@gmail.com
QQ Chat
Chemical manufacturer
Ubichem Plc. UK
+44 (23) 8026-3030
info@ubichem.com
Chemical manufacturer
Identification
Name 2-Methyl-2-Propanyl 2-Butylhydrazinecarboxylate
Synonyms Butylbutylcarbazate; O-tert-Butyl butyl carbazate; tert-butyl 2-butylhydrazinecarboxylate
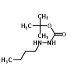
Molecular Structure CAS#: 149268-06-4, 2-Methyl-2-Propanyl 2-Butylhydrazinecarboxylate
Molecular Formula C9H20N2O2
Molecular Weight 188.27
CAS Registry Number 149268-06-4
SMILES CC(C)(C)OC(=O)NNCCCC
InChI 1S/C9H20N2O2/c1-5-6-7-10-11-8(12)13-9(2,3)4/h10H,5-7H2,1-4H3,(H,11,12)
InChIKey QCPIKVMLLWWWAH-UHFFFAOYSA-N
Properties
Density 0.95g/cm3 (Cal.)
Refractive index 1.444 (Cal.)
Market Analysis Reports
Related Products
2-Methyl-2-Prop...  2-Methyl-2-Prop...  2-Methyl-2-prop...  2-Methyl-2-Prop...  2-Methyl-2-Prop...  2-Methyl-2-Prop...  2-Methyl-2-Prop...  2-Methyl-2-Prop...  2-Methyl-2-prop...  2-Methyl-2-Prop...  2-Methyl-2-Prop...  2-Methyl-2-Prop...  2-Methyl-2-Prop...  2-Methyl-2-Prop...  2-Methyl-2-prop...  2-Methyl-2-Prop...  2-Methyl-2-Prop...  2-Methyl-2-prop...  2-Methyl-2-prop...  2-Methyl-2-prop...