Online Database of Chemicals from Around the World

[(2R,3R,4S,5S)-4-Hydroxy-5-(Hydroxymethyl)-2-[(2S,3S,4R)-2,3,4-Trihydroxy-5-Oxopentoxy]Oxolan-3-Yl] (E)-3-(4-Hydroxy-3-Methoxyphenyl)Prop-2-Enoate
[CAS 152040-94-3]

Suppliers
CAS#: 152040-94-3
Product: [(2R,3R,4S,5S)-4-Hydroxy-5-(Hydroxymethyl)-2-[(2S,3S,4R)-2,3,4-Trihydroxy-5-Oxopentoxy]Oxolan-3-Yl] (E)-3-(4-Hydroxy-3-Methoxyphenyl)Prop-2-Enoate
No suppilers available for the product.
Identification
Name [(2R,3R,4S,5S)-4-Hydroxy-5-(Hydroxymethyl)-2-[(2S,3S,4R)-2,3,4-Trihydroxy-5-Oxopentoxy]Oxolan-3-Yl] (E)-3-(4-Hydroxy-3-Methoxyphenyl)Prop-2-Enoate
Synonyms [(2R,3R,4S,5S)-4-Hydroxy-5-(Hydroxymethyl)-2-[(2S,3S,4R)-2,3,4-Trihydroxy-5-Oxo-Pentoxy]Tetrahydrofuran-3-Yl] (E)-3-(4-Hydroxy-3-Methoxy-Phenyl)Prop-2-Enoate; (E)-3-(4-Hydroxy-3-Methoxyphenyl)Prop-2-Enoic Acid [(2R,3R,4S,5S)-4-Hydroxy-5-(Hydroxymethyl)-2-[(2S,3S,4R)-2,3,4-Trihydroxy-5-Oxopentoxy]-3-Tetrahydrofuranyl] Ester; (E)-3-(4-Hydroxy-3-Methoxy-Phenyl)Acrylic Acid [(2R,3R,4S,5S)-4-Hydroxy-5-Methylol-2-[(2S,3S,4R)-2,3,4-Trihydroxy-5-Keto-Pentoxy]Tetrahydrofuran-3-Yl] Ester
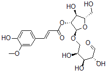
Molecular Structure CAS#: 152040-94-3, [(2R,3R,4S,5S)-4-Hydroxy-5-(Hydroxymethyl)-2-[(2S,3S,4R)-2,3,4-Trihydroxy-5-Oxopentoxy]Oxolan-3-Yl] (E)-3-(4-Hydroxy-3-Methoxyphenyl)Prop-2-Enoate
Molecular Formula C20H26O12
Molecular Weight 458.42
CAS Registry Number 152040-94-3
SMILES [C@@H](C=O)(O)[C@@H](O)[C@@H](O)CO[C@H]2[C@H](OC(\C=C\C1=CC=C(C(=C1)OC)O)=O)[C@@H](O)[C@@H](O2)CO
InChI 1S/C20H26O12/c1-29-14-6-10(2-4-11(14)23)3-5-16(26)32-19-18(28)15(8-22)31-20(19)30-9-13(25)17(27)12(24)7-21/h2-7,12-13,15,17-20,22-25,27-28H,8-9H2,1H3/b5-3+/t12-,13-,15-,17+,18-,19+,20+/m0/s1
InChIKey HXNNAMNAGKCHPV-JWIFHMNOSA-N
Properties
Density 1.531g/cm3 (Cal.)
Boiling point 765.302°C at 760 mmHg (Cal.)
Flash point 266.351°C (Cal.)
Market Analysis Reports
Related Products
5-Hydroxy-4-[[5...  3-Hydroxy-4-[[2...  [[1-Hydroxy-6-[...  [1-[(4S,5R)-4-H...  4-Hydroxy-N-[5-...  1-[(2R,4S,5R)-4...  1-[(4S,5R)-4-Hy...  5-hydroxy-8-(1-...  (±)-2-Hydroxy-5...  (Z,2R)-2-hydrox...  1-Hydroxy-2-(Hy...  3-{[(2-{[(5R,6R...  (5R)-5-hydroxy-...  (1R,5R,6R)-5-Hy...  (2S,5R)-5-Hydro...  12-Hydroxy-13-(...  [4-Hydroxy-3-[(...  8-Hydroxy-7-((4...  4-Hydroxy-3-[2-...  [(2R)-1-[Hydrox...