Online Database of Chemicals from Around the World

Ferrichrome
[CAS 15258-80-7]

Suppliers
CAS#: 15258-80-7
Product: Ferrichrome
No suppilers available for the product.
Identification
Name Ferrichrome
Synonyms Ferric (Z)-5-[3-[11,14-Bis(Hydroxymethyl)-5,8-Bis[3-[[(E)-5-Hydroxy-3-Methyl-5-Oxo-Pent-2-Enoyl]-Oxido-Amino]Propyl]-3,6,9,12,15,18-Hexaoxo-1,4,7,10,13,16-Hexazacyclooctadec-2-Yl]Propyl-Oxido-Amino]-3-Methyl-5-Oxo-Pent-3-Enoic Acid; Ferric (Z)-5-[3-[11,14-Bis(Hydroxymethyl)-5,8-Bis[3-[[(E)-5-Hydroxy-3-Methyl-1,5-Dioxopent-2-Enyl]-Oxidoamino]Propyl]-3,6,9,12,15,18-Hexaoxo-1,4,7,10,13,16-Hexazacyclooctadec-2-Yl]Propyl-Oxidoamino]-3-Methyl-5-Oxopent-3-Enoic Acid; Ferric (Z)-5-[3-[5,8-Bis[3-[[(E)-5-Hydroxy-5-Keto-3-Methyl-Pent-2-Enoyl]-Oxido-Amino]Propyl]-3,6,9,12,15,18-Hexaketo-11,14-Dimethylol-1,4,7,10,13,16-Hexazacyclooctadec-2-Yl]Propyl-Oxido-Amino]-5-Keto-3-Methyl-Pent-3-Enoic Acid
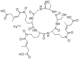
Molecular Structure CAS#: 15258-80-7, Ferrichrome
Molecular Formula C41H58FeN9O20
Molecular Weight 1052.80
CAS Registry Number 15258-80-7
EINECS 239-301-9
SMILES C(C1NC(=O)C(NC(=O)C(NC(=O)CNC(=O)C(NC(=O)C(NC1=O)CO)CO)CCCN([O-])C(=O)\C=C(/CC(=O)O)C)CCCN([O-])C(=O)\C=C(\CC(=O)O)C)CCN([O-])C(=O)\C=C(/CC(=O)O)C.[Fe+3]
InChI 1S/C41H58N9O20.Fe/c1-22(16-34(57)58)13-31(54)48(68)10-4-7-25-38(64)44-26(8-5-11-49(69)32(55)14-23(2)17-35(59)60)39(65)45-27(9-6-12-50(70)33(56)15-24(3)18-36(61)62)40(66)47-29(21-52)41(67)46-28(20-51)37(63)42-19-30(53)43-25;/h13-15,25-29,51-52H,4-12,16-21H2,1-3H3,(H,42,63)(H,43,53)(H,44,64)(H,45,65)(H,46,67)(H,47,66)(H,57,58)(H,59,60)(H,61,62);/q-3;+3/b22-13-,23-14+,24-15-;
InChIKey GLLVIRNJIQOQJW-LDEMJYSLSA-N
Market Analysis Reports
Related Products
Ferric Cyclopen...  Ferric derisoma...  Ferric dipotass...  Ferric(III)-Edt...  Ferric enteroch...  Ferric 2-ethylh...  Ferric Ferricya...  Ferric Fructose...  Ferric gluconat...  Ferric glycerop...  Ferric hydroxid...  Ferric maltol;F...  Ferric methanar...  ferric 5-methox...  ferric 2-methyl...  Ferric Molybdat...  Ferric monometh...  Ferric nitrate  Ferric nitrate ...  Ferric Nitrilot...