Online Database of Chemicals from Around the World

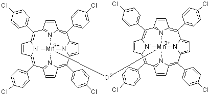
mu-Oxobis[5,10,15,20-tetrakis(4-chlorophenyl)-21H,23H-porphinato(2-)-N21,N22,N23,N24]dimanganese
[CAS 154089-63-1]

List of Suppliers
Yuanjiang Hualong Catalyst Technology Co., Ltd. China
www.porphyrin-cn.com
+86 18673173783
+86 (731) 8882-1488
hdccguo@163.com
Chemical manufacturer since 2008
chemBlink Standard supplier since 2016

Identification
Namemu-Oxobis[5,10,15,20-tetrakis(4-chlorophenyl)-21H,23H-porphinato(2-)-N21,N22,N23,N24]dimanganese
Molecular Structuremu-Oxobis[5,10,15,20-tetrakis(4-chlorophenyl)-21H,23H-porphinato(2-)-N21,N22,N23,N24]dimanganese molecular structure (CAS 154089-63-1)
Molecular FormulaC88H48Cl8Mn2N8O
Molecular Weight1626.87
CAS Registry Number154089-63-1
Market Analysis Reports
Related Products
3-(4-Oxobicyclo...  9-Oxobicyclo[3....  (1R,6R)-5-Oxobi...  7-Oxobicyclo[3....  8-Oxobicyclo[4....  9-Oxo-2,7-bisab...  (mu-Oxo)bis(for...  Oxobis(4-Methox...  Oxobismuthanyli...  2-[3-Oxo-1,3-Bi...  mu-Oxobis[(5,10...  mu-Oxobis[5,10,...  mu-Oxo-bis[[tet...  mu-Oxobis[5,10,...  mu-Oxobis[5,10,...  Oxobis(2,2,6,6-...  mu-Oxobis[5,10,...  mu-Oxobis[alpha...  Oxo[Bis(Trifluo...  Oxobistrisdimet...