Online Database of Chemicals from Around the World

Transsylvanoside A
[CAS 155569-77-0]

Suppliers
CAS#: 155569-77-0
Product: Transsylvanoside A
No suppilers available for the product.
Identification
Name Transsylvanoside A
Synonyms (4As,6Ar,6As,6Br,8Ar,9R,10S,12Ar,14Bs)-10-[(2S,3R,4R,5R)-5-[(2S,3R,4S,5R,6S)-3,4-Dihydroxy-6-Methyl-5-[(2S,3R,4S,5S,6R)-3,4,5-Trihydroxy-6-[[(2R,3R,4S,5S,6R)-3,4,5-Trihydroxy-6-(Hydroxymethyl)Tetrahydropyran-2-Yl]Oxymethyl]Tetrahydropyran-2-Yl]Oxy-Tetrahydropyran-2-Yl]Oxy-3,4-Dihydroxy-Tetrahydropyran-2-Yl]Oxy-9-(Hydroxymethyl)-2,2,6A,6B,9,12A-Hexamethyl-1,3,4,5,6,6A,7,8,8A,10,11,12,13,14B-Tetradecahydropicene-4A-Carboxylic Acid; (4As,6Ar,6As,6Br,8Ar,9R,10S,12Ar,14Bs)-10-[[(2S,3R,4R,5R)-5-[[(2S,3R,4S,5R,6S)-3,4-Dihydroxy-6-Methyl-5-[[(2S,3R,4S,5S,6R)-3,4,5-Trihydroxy-6-[[(2R,3R,4S,5S,6R)-3,4,5-Trihydroxy-6-(Hydroxymethyl)-2-Tetrahydropyranyl]Oxymethyl]-2-Tetrahydropyranyl]Oxy]-2-Tetrahydropyranyl]Oxy]-3,4-Dihydroxy-2-Tetrahydropyranyl]Oxy]-9-(Hydroxymethyl)-2,2,6A,6B,9,12A-Hexamethyl-1,3,4,5,6,6A,7,8,8A,10,11,12,13,14B-Tetradecahydropicene-4A-Carboxylic Acid; (4As,6Ar,6As,6Br,8Ar,9R,10S,12Ar,14Bs)-10-[(2S,3R,4R,5R)-5-[(2S,3R,4S,5R,6S)-3,4-Dihydroxy-6-Methyl-5-[(2S,3R,4S,5S,6R)-3,4,5-Trihydroxy-6-[[(2R,3R,4S,5S,6R)-3,4,5-Trihydroxy-6-Methylol-Tetrahydropyran-2-Yl]Oxymethyl]Tetrahydropyran-2-Yl]Oxy-Tetrahydropyran-2-Yl]Oxy-3,4-Dihydroxy-Tetrahydropyran-2-Yl]Oxy-2,2,6A,6B,9,12A-Hexamethyl-9-Methylol-1,3,4,5,6,6A,7,8,8A,10,11,12,13,14B-Tetradecahydropicene-4A-Carboxylic Acid
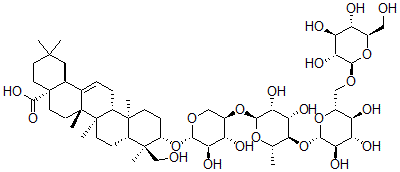
Molecular Structure CAS#: 155569-77-0, Transsylvanoside A
Molecular Formula C53H86O22
Molecular Weight 1075.25
CAS Registry Number 155569-77-0
SMILES [C@@H]14[C@]([C@]2(C(=CC1)[C@H]3[C@](CC2)(C(=O)O)CCC(C3)(C)C)C)(CC[C@@H]9[C@@]4(CC[C@H](O[C@@H]8OC[C@@H](O[C@@H]7O[C@H]([C@H](O[C@@H]5O[C@@H]([C@@H](O)[C@H](O)[C@H]5O)CO[C@@H]6O[C@@H]([C@@H](O)[C@H](O)[C@H]6O)CO)[C@@H](O)[C@H]7O)C)[C@H](O)[C@H]8O)[C@]9(CO)C)C)C
InChI 1S/C53H86O22/c1-23-42(75-46-40(64)36(60)33(57)27(73-46)20-68-43-39(63)35(59)32(56)26(19-54)71-43)37(61)41(65)45(70-23)72-28-21-69-44(38(62)34(28)58)74-31-11-12-49(4)29(50(31,5)22-55)10-13-52(7)30(49)9-8-24-25-18-48(2,3)14-16-53(25,47(66)67)17-15-51(24,52)6/h8,23,25-46,54-65H,9-22H2,1-7H3,(H,66,67)/t23-,25-,26+,27+,28+,29+,30+,31-,32+,33+,34-,35-,36-,37-,38+,39+,40+,41+,42-,43+,44-,45-,46-,49-,50-,51+,52+,53-/m0/s1
InChIKey MQDPNHFRYVCDQE-WJBLRBLFSA-N
Properties
Density 1.463g/cm3 (Cal.)
Market Analysis Reports
Related Products
transfactor-Lik...  DOTAP Transfect...  Transfer ribonu...  Transferrins;Hu...  Transfluthrin;2...  transforming Gr...  Transglutaminas...  Transglutaminas...  transhydroxycil...  transnemonaprid...  Transsylvanosid...  [trans[trans(tr...  [trans[trans(tr...  Trantelinium;9H...  Tranylcypromine...  Trap 101;1-[1-(...  Trapidil;N,N-Di...  Traseolide;5-Ac...  Traseolide;1-[(...  Trasidrex;1-(2-...