Online Database of Chemicals from Around the World

Amythiamicin C
[CAS 156620-47-2]

Suppliers
CAS#: 156620-47-2
Product: Amythiamicin C
No suppilers available for the product.
Identification
Name Amythiamicin C
Synonyms 4-Thiazolecarboxylic Acid, 2-(10,11,17,18,23,24,25,26,27,28-Decahydro-14-Methyl-11-(2-Methylamino)-2-Oxoethyl)-18,28-Bis(1-Methylethyl)-9,16,23,26-Tetraoxo-9H,16H-8,5:15,12:22,19:32,29:36,33-Pentanitrilo-5H,29H,33H-Pyrido(3,2-A1)(1,11,18,25,31,4,7,14,21)Pentathiatetraazacyclotetratriacontin-2-Yl)-, (Octahydro-1,4-Dioxopyrrolo(1,2-A)Pyrazin-3-Yl)Methyl Ester
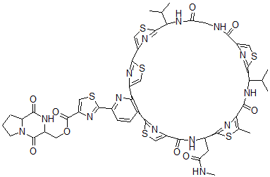
Molecular Structure CAS#: 156620-47-2, Amythiamicin C
Molecular Formula C50H50N14O9S6
Molecular Weight 1183.39
CAS Registry Number 156620-47-2
SMILES N1=C5SC=C1C7=C(C2=NC(=CS2)C(=O)NC(C3=NC(=C(S3)C)C(=O)NC(C4=NC(=CS4)C(=O)NCC(=O)NC(C6=NC5=CS6)C(C)C)C(C)C)CC(=O)NC)C=CC(=N7)C8=NC(=CS8)C(OCC9NC(=O)C%10N(C9=O)CCC%10)=O
InChI 1S/C50H50N14O9S6/c1-20(2)35-47-59-30(18-78-47)45-56-27(15-75-45)38-23(9-10-24(53-38)44-60-31(19-76-44)50(72)73-14-26-49(71)64-11-7-8-32(64)41(69)55-26)43-57-29(17-74-43)40(68)54-25(12-33(65)51-6)46-63-37(22(5)79-46)42(70)62-36(21(3)4)48-58-28(16-77-48)39(67)52-13-34(66)61-35/h9-10,15-21,25-26,32,35-36H,7-8,11-14H2,1-6H3,(H,51,65)(H,52,67)(H,54,68)(H,55,69)(H,61,66)(H,62,70)
InChIKey RVTQSVRTXQTCKX-UHFFFAOYSA-N
Properties
Density 1.594g/cm3 (Cal.)
Market Analysis Reports
Related Products
beta-Amyrin ace...  delta-Amyrin ac...  alpha-Amyrin ac...  alpha-Amyrin Be...  alpha-Amyrin pa...  beta-Amyrin pal...  Amyris Oil  beta-Amyrone;Ol...  Amytal sodium;S...  Amythiamicin B;...  Amythiamicin D;...  Amythiamycin A;...  AN-7  ANA-773  Anabasamine;5-(...  rac-Anabasamine  Anabaseine;3,4,...  (+/-)-Anabasine  L-(-)-Anabasine...  (+/-)-Anabasine...