Online Database of Chemicals from Around the World

2-[20-Carbamoyl-12-[4-(Diaminomethylideneamino)Butyl]-3-(1H-Indol-3-Ylmethyl)-2,5,8,11,14,22-Hexaoxo-17,18-Dithia-1,4,7,10,13,21-Hexazabicyclo[21.3.0]Hexacosan-6-Yl]Acetic Acid
[CAS 157630-07-4]

Suppliers
CAS#: 157630-07-4
Product: 2-[20-Carbamoyl-12-[4-(Diaminomethylideneamino)Butyl]-3-(1H-Indol-3-Ylmethyl)-2,5,8,11,14,22-Hexaoxo-17,18-Dithia-1,4,7,10,13,21-Hexazabicyclo[21.3.0]Hexacosan-6-Yl]Acetic Acid
No suppilers available for the product.
Identification
Name 2-[20-Carbamoyl-12-[4-(Diaminomethylideneamino)Butyl]-3-(1H-Indol-3-Ylmethyl)-2,5,8,11,14,22-Hexaoxo-17,18-Dithia-1,4,7,10,13,21-Hexazabicyclo[21.3.0]Hexacosan-6-Yl]Acetic Acid
Synonyms 2-[20-Carbamoyl-12-(4-Guanidinobutyl)-3-(1H-Indol-3-Ylmethyl)-2,5,8,11,14,22-Hexaoxo-17,18-Dithia-1,4,7,10,13,21-Hexazabicyclo[21.3.0]Hexacosan-6-Yl]Acetic Acid; 2-[20-Carbamoyl-12-(4-Guanidinobutyl)-3-(1H-Indol-3-Ylmethyl)-2,5,8,11,14,22-Hexaketo-17,18-Dithia-1,4,7,10,13,21-Hexazabicyclo[21.3.0]Hexacosan-6-Yl]Acetic Acid; 2-[20-Aminocarbonyl-12-[4-(Diaminomethylideneamino)Butyl]-3-(1H-Indol-3-Ylmethyl)-2,5,8,11,14,22-Hexaoxo-17,18-Dithia-1,4,7,10,13,21-Hexazabicyclo[21.3.0]Hexacosan-6-Yl]Ethanoic Acid
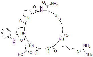
Molecular Structure CAS#: 157630-07-4, 2-[20-Carbamoyl-12-[4-(Diaminomethylideneamino)Butyl]-3-(1H-Indol-3-Ylmethyl)-2,5,8,11,14,22-Hexaoxo-17,18-Dithia-1,4,7,10,13,21-Hexazabicyclo[21.3.0]Hexacosan-6-Yl]Acetic Acid
Molecular Formula C35H49N11O9S2
Molecular Weight 831.96
CAS Registry Number 157630-07-4
SMILES C4=C(CC2NC(=O)C(NC(=O)CNC(=O)C(NC(=O)CCSSCC(NC(=O)C1N(CCC1)C2=O)C(=O)N)CCCCN=C(N)N)CC(O)=O)C3=CC=CC=C3[NH]4
InChI 1S/C35H49N11O9S2/c36-30(51)25-18-57-56-13-10-27(47)42-22(8-3-4-11-39-35(37)38)31(52)41-17-28(48)43-23(15-29(49)50)32(53)44-24(14-19-16-40-21-7-2-1-6-20(19)21)34(55)46-12-5-9-26(46)33(54)45-25/h1-2,6-7,16,22-26,40H,3-5,8-15,17-18H2,(H2,36,51)(H,41,52)(H,42,47)(H,43,48)(H,44,53)(H,45,54)(H,49,50)(H4,37,38,39)
InChIKey CZKPOZZJODAYPZ-UHFFFAOYSA-N
Properties
Density 1.605g/cm3 (Cal.)
Market Analysis Reports
Related Products
(1S,3R)-3-Carba...  (1R,2S)-2-Carba...  2-Carbamoylcycl...  N-(1-Carbamoylc...  N-Carbamoyl-2-c...  2-Carbamoyl-2-c...  N-(1-Carbamoylc...  1-Carbamoylcycl...  N-Carbamoyl-D-C...  N-Carbamoyl-L-c...  Carbamoyl-(Diam...  N-Carbamoyl-2-(...  3-Carbamoyl-N,N...  2-[[5-Carbamoyl...  (4S,5S)-4-Carba...  [(2R,3S,4R,5R)-...  5-[[3-[[3-Carba...  N-Carbamoyl-2,3...  2-Carbamoyl-3,3...  2-Carbamoyl-2,3...