Online Database of Chemicals from Around the World

Cyclo-Rhamnopentaose
[CAS 159495-25-7]

Suppliers
CAS#: 159495-25-7
Product: Cyclo-Rhamnopentaose
No suppilers available for the product.
Identification
Name Cyclo-Rhamnopentaose
Synonyms Cyclorhamnopentaose
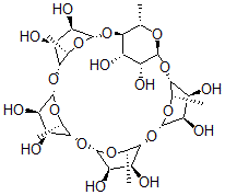
Molecular Structure CAS#: 159495-25-7, Cyclo-Rhamnopentaose
Molecular Formula C30H50O20
Molecular Weight 730.71
CAS Registry Number 159495-25-7
SMILES [C@H]12O[C@@H]6O[C@H]([C@H](O[C@@H]5O[C@H]([C@H](O[C@@H]4O[C@H]([C@H](O[C@@H]3O[C@H]([C@H](O[C@H](O[C@H]1C)[C@H](O)[C@@H]2O)[C@@H](O)[C@H]3O)C)[C@@H](O)[C@H]4O)C)[C@@H](O)[C@H]5O)C)[C@@H](O)[C@H]6O)C
InChI 1S/C30H50O20/c1-6-21-11(31)16(36)26(41-6)47-22-7(2)43-28(18(38)13(22)33)49-24-9(4)45-30(20(40)15(24)35)50-25-10(5)44-29(19(39)14(25)34)48-23-8(3)42-27(46-21)17(37)12(23)32/h6-40H,1-5H3/t6-,7-,8-,9-,10-,11-,12-,13-,14-,15-,16+,17+,18+,19+,20+,21-,22-,23-,24-,25-,26-,27-,28-,29-,30-/m0/s1
InChIKey GGQUYBHXGXCEBI-FFNZEYDHSA-N
Properties
Density 1.443g/cm3 (Cal.)
Boiling point 1045.747°C at 760 mmHg (Cal.)
Flash point 586.247°C (Cal.)
Market Analysis Reports
Related Products
4-(1-Cyclopropy...  4-[(E)-2-Cyclop...  2-Cyclopropyl-1...  Cyclopropylzinc...  Cycloprotobuxin...  Cyclo(Pro-Trp);...  Cyclo(L-Pro-L-T...  Cycloprovera;Ac...  Cyclopyrronium;...  Cyclo(RGDyK) Tr...  Cyclo[Sar-N-Met...  (S)-(-)-Cyclose...  D-Cycloserine;D...  rac Cycloserine...  Cyclo(L-seryl-L...  Cycloshizukaol ...  Cyclosilazanes,...  Cyclosiloxanes,...  Cyclosinefungin...  Cyclosporin A;A...