Online Database of Chemicals from Around the World

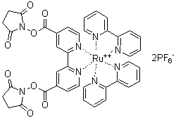
(OC-6-22)-Bis(2,2'-bipyridine-N,N')[1,1'-[[2,2'-bipyridine]-4,4'-diylbis(carbonyloxy)]bis[2,5-pyrrolidinedione]]-ruthenium bis[hexafluorophosphate]
[CAS 160525-49-5]

List of Suppliers
BOC Sciences USA
www.bocsci.com
+1 (631) 485-4226
+1 (631) 614-7828
info@bocsci.com
Chemical manufacturer
chemBlink Standard supplier since 2010

Identification
Name(OC-6-22)-Bis(2,2'-bipyridine-N,N')[1,1'-[[2,2'-bipyridine]-4,4'-diylbis(carbonyloxy)]bis[2,5-pyrrolidinedione]]-ruthenium bis[hexafluorophosphate]
Molecular Structure(OC-6-22)-Bis(2,2'-bipyridine-N,N')[1,1'-[[2,2'-bipyridine]-4,4'-diylbis(carbonyloxy)]bis[2,5-pyrrolidinedione]]-ruthenium bis[hexafluorophosphate] molecular structure (CAS 160525-49-5)
Molecular FormulaC40H30N8O8Ru.(PF6)2
Molecular Weight1141.73
CAS Registry Number160525-49-5
Market Analysis Reports
Related Products
2,5-BIS(4-BIPHE...  2,5-Bis(4-Biphe...  6,6'-Bis(5-[1,1...  2,2-Bis([1,1'-B...  6,13-Bis([1,1'-...  2,6-Bis([1,1'-b...  2,4-Bis(bipheny...  Bis(biphenyl-4-...  2,5-Bis(4-biphe...  Bis(2,2'-bipyri...  cis-Bis(2,2'-bi...  Bis(2,2'-bipyri...  Bis(2,2'-Bipyri...  (OC-6-33)-Bis(2...  1,3-Bis[2-(2,2'...  2,7-Bis[2-(2,2'...  Bis(2,2-bipyrid...  Bis[2,2-Bis[(Al...  Bis[2,2-Bis[(Al...  3-({4,6-Bis[(4-...