Online Database of Chemicals from Around the World

Tert-Butyl N-[(2S,3R)-3-Hydroxy-4-[[(2R,3S)-2-Hydroxy-3-[(2-Methylpropan-2-Yl)Oxycarbonylamino]-4-Phenylbutyl]Amino]-1-[4-[2-(2-Oxo-1,3-Oxazolidin-3-Yl)Ethoxy]Phenyl]Butan-2-Yl]Carbamate
[CAS 162540-90-1]

Suppliers
CAS#: 162540-90-1
Product: Tert-Butyl N-[(2S,3R)-3-Hydroxy-4-[[(2R,3S)-2-Hydroxy-3-[(2-Methylpropan-2-Yl)Oxycarbonylamino]-4-Phenylbutyl]Amino]-1-[4-[2-(2-Oxo-1,3-Oxazolidin-3-Yl)Ethoxy]Phenyl]Butan-2-Yl]Carbamate
No suppilers available for the product.
Identification
Name Tert-Butyl N-[(2S,3R)-3-Hydroxy-4-[[(2R,3S)-2-Hydroxy-3-[(2-Methylpropan-2-Yl)Oxycarbonylamino]-4-Phenylbutyl]Amino]-1-[4-[2-(2-Oxo-1,3-Oxazolidin-3-Yl)Ethoxy]Phenyl]Butan-2-Yl]Carbamate
Synonyms Tert-Butyl N-[(1S,2R)-3-[[(2R,3S)-3-(Tert-Butoxycarbonylamino)-2-Hydroxy-4-Phenyl-Butyl]Amino]-2-Hydroxy-1-[[4-[2-(2-Oxooxazolidin-3-Yl)Ethoxy]Phenyl]Methyl]Propyl]Carbamate; N-[(1S,2R)-3-[[(2R,3S)-3-[(Tert-Butoxy-Oxomethyl)Amino]-2-Hydroxy-4-Phenylbutyl]Amino]-2-Hydroxy-1-[[4-[2-(2-Oxo-3-Oxazolidinyl)Ethoxy]Phenyl]Methyl]Propyl]Carbamic Acid Tert-Butyl Ester; N-[(1S,2R)-3-[[(2R,3S)-3-(Tert-Butoxycarbonylamino)-2-Hydroxy-4-Phenyl-Butyl]Amino]-2-Hydroxy-1-[4-[2-(2-Ketooxazolidin-3-Yl)Ethoxy]Benzyl]Propyl]Carbamic Acid Tert-Butyl Ester
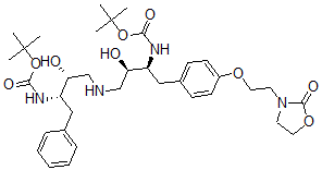
Molecular Structure CAS#: 162540-90-1, Tert-Butyl N-[(2S,3R)-3-Hydroxy-4-[[(2R,3S)-2-Hydroxy-3-[(2-Methylpropan-2-Yl)Oxycarbonylamino]-4-Phenylbutyl]Amino]-1-[4-[2-(2-Oxo-1,3-Oxazolidin-3-Yl)Ethoxy]Phenyl]Butan-2-Yl]Carbamate
Molecular Formula C35H52N4O9
Molecular Weight 672.82
CAS Registry Number 162540-90-1
SMILES [C@@H](NC(OC(C)(C)C)=O)([C@H](O)CNC[C@H]([C@@H](NC(OC(C)(C)C)=O)CC1=CC=C(C=C1)OCCN2C(OCC2)=O)O)CC3=CC=CC=C3
InChI 1S/C35H52N4O9/c1-34(2,3)47-31(42)37-27(20-24-10-8-7-9-11-24)29(40)22-36-23-30(41)28(38-32(43)48-35(4,5)6)21-25-12-14-26(15-13-25)45-18-16-39-17-19-46-33(39)44/h7-15,27-30,36,40-41H,16-23H2,1-6H3,(H,37,42)(H,38,43)/t27-,28-,29+,30+/m0/s1
InChIKey SGPZLDNIZDMEIK-VZNYXHRGSA-N
Properties
Density 1.199g/cm3 (Cal.)
Boiling point 862.951°C at 760 mmHg (Cal.)
Flash point 475.696°C (Cal.)
Market Analysis Reports
Related Products
tert-Butyl 3-(2...  tert-Butyl (2R)...  Tert-Butyl N-[4...  5-(Tert-Butyl)-...  tert-Butyl tran...  (7R,8aS)-tert-B...  Tert-Butyl 6-Hy...  Tert-Butyl N-(6...  tert-butyl 4-hy...  Tert-Butyl N-[(...  Tert-Butyl N-[(...  tert-Butyl (2R,...  tert-Butyl (2S,...  (3R,4R)-tert-Bu...  tert-Butyl 4-[(...  tert-Butyl 4-(h...  Tert-Butyl alph...  (4R)-N-Tert-But...  (4R)-N-Tert-But...  N-tert-Butylhyd...