Online Database of Chemicals from Around the World

Polygalasaponin V
[CAS 162857-65-0]

List of Suppliers
Aktin Chemicals Inc China
www.aktinchem.com
+86 400-028-7725
+86 (28) 8515-2372
info@aktinchem.com
QQ Chat
Chemical manufacturer
chemBlink Standard supplier since 2011
Chengdu Biopurify Phytochemicals Ltd. China
www.phytopurify.com
+86 (28) 8263-3860
8263-3987
+86 (28) 8263-3165
sales@biopurify.com
biopurify@gmail.com
QQ Chat
Skype Chat
Chemical manufacturer
chemBlink Standard supplier since 2017
Neostar United (Changzhou) Industrial Co., Ltd. China
www.neostarunited.com
+86 (519) 8555-7386
+86 18015025600
+86 (519) 8555-7389
marketing1@neostarunited.com
Chemical distributor since 2014
chemBlink Standard supplier since 2020

Identification
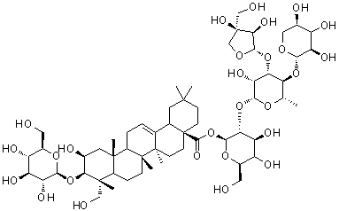
NamePolygalasaponin V
Synonyms(2beta,3beta,4alpha)-3-(beta-D-Glucopyranosyloxy)-2,23-dihydroxyolean-12-en-28-oic acid O-D-apio-beta-D-furanosyl-(1→3)-O-[beta-D-xylopyranosyl-(1→4)]-O-6-deoxy-alpha-L-mannopyranosyl-(1→2)-beta-D-glucopyranosyl ester
Molecular StructurePolygalasaponin V molecular structure (CAS 162857-65-0)
Molecular FormulaC58H94O27
Molecular Weight1223.35
CAS Registry Number162857-65-0
Properties
SolubilityInsoluble (1.6E-3 g/L) (25 °C), Calc.*
Density1.52±0.1 g/cm3 (20 °C 760 Torr), Calc.*
*Calculated using Advanced Chemistry Development (ACD/Labs) Software V11.02 (©1994-2014 ACD/Labs)
Market Analysis Reports
Related Products
Poly(2-Fluoroad...  Poly(2'-Fluoro-...  Polyformaldehyd...  Poly(formaldehy...  Polyfurfurylidi...  Polygalacic aci...  Polygalacin D  Polygalacturoni...  Polygalasaponin...  Polygalasaponin...  polygalasaponin...  Polygalasaponin...  Polygala Senega...  Polygalaxanthon...  Polygalaxanthon...  Polygalic acid  Polyglucuronic ...  Poly-gamma-Glut...  Poly(Glutamic A...  Poly(glutamic a...