Online Database of Chemicals from Around the World

Chlorotoxin
[CAS 163515-35-3]

List of Suppliers
BOC Sciences USA
www.bocsci.com
+1 (631) 485-4226
+1 (631) 614-7828
info@bocsci.com
Chemical manufacturer
chemBlink Standard supplier since 2010
Smartox Biotechnology France
www.smartox-biotech.com
+33 (4) 7654-9529
contact@smartox-biotech.com
Chemical manufacturer
chemBlink Standard supplier since 2012
Glentham Life Sciences UK
www.glenthamls.com
+44 (2033) 978-798
+44 (2033) 978-909
info@glenthamls.com
Chemical distributor since 2013
chemBlink Standard supplier since 2013

Identification
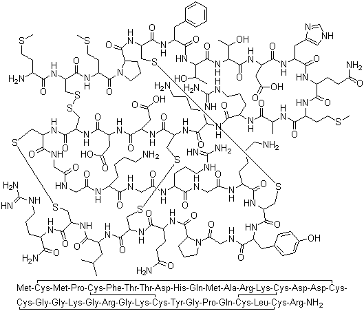
NameChlorotoxin
Molecular StructureChlorotoxin molecular structure (CAS 163515-35-3)
Molecular FormulaC158H249N53O47S11
Molecular Weight3995.70
CAS Registry Number163515-35-3
Safety Data
SDSAvailable
Market Analysis Reports
Related Products
3-(5-Chloro-O-T...  4-chloro-N-(m-t...  1-(4-Chloro-2-T...  3-chloro-1-(o-t...  2-chloro-6-(p-t...  5-Chloro-2-[(p-...  4-Chloro-2-(4-T...  2-Chloro-N-(4-p...  6-chloro-1-tosy...  4-Chloro-7-tosy...  4-Chloro Trazod...  6-Chloro-9-(2,3...  4-Chloro-7-(2,3...  1-Chlorotriacon...  3-Chlorotriamci...  Chlorotrianisen...  1-Chloro-9H-2,4...  3-Chloro-1,2,4-...  9,9'-(6-chloro-...  6-Chloro-1,3,5-...