Online Database of Chemicals from Around the World

[(2R)-3-[[(2S,3S,5R,6S)-2,6-Dihydroxy-3,4,5-Triphosphonooxycyclohexyl]Oxy-Hydroxyphosphoryl]Oxy-2-Hexadecanoyloxypropyl] Hexadecanoate
[CAS 165689-82-7]

Suppliers
CAS#: 165689-82-7
Product: [(2R)-3-[[(2S,3S,5R,6S)-2,6-Dihydroxy-3,4,5-Triphosphonooxycyclohexyl]Oxy-Hydroxyphosphoryl]Oxy-2-Hexadecanoyloxypropyl] Hexadecanoate
No suppilers available for the product.
Identification
Name [(2R)-3-[[(2S,3S,5R,6S)-2,6-Dihydroxy-3,4,5-Triphosphonooxycyclohexyl]Oxy-Hydroxyphosphoryl]Oxy-2-Hexadecanoyloxypropyl] Hexadecanoate
Synonyms [(2R)-3-[[(2S,3S,5R,6S)-2,6-Dihydroxy-3,4,5-Triphosphonooxy-Cyclohexoxy]-Hydroxy-Phosphoryl]Oxy-2-Hexadecanoyloxy-Propyl] Hexadecanoate; Hexadecanoic Acid [(2R)-3-[[(2S,3S,5R,6S)-2,6-Dihydroxy-3,4,5-Triphosphonooxycyclohexoxy]-Hydroxyphosphoryl]Oxy-2-(1-Oxohexadecoxy)Propyl] Ester; Palmitic Acid [(2R)-3-[[(2S,3S,5R,6S)-2,6-Dihydroxy-3,4,5-Triphosphonooxy-Cyclohexoxy]-Hydroxy-Phosphoryl]Oxy-2-Hexadecanoyloxy-Propyl] Ester
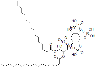
Molecular Structure CAS#: 165689-82-7, [(2R)-3-[[(2S,3S,5R,6S)-2,6-Dihydroxy-3,4,5-Triphosphonooxycyclohexyl]Oxy-Hydroxyphosphoryl]Oxy-2-Hexadecanoyloxypropyl] Hexadecanoate
Molecular Formula C41H82O22P4
Molecular Weight 1050.98
CAS Registry Number 165689-82-7
SMILES [C@@H]1(O[P](O)(O)=O)C(O[P](O)(O)=O)[C@H](O[P](O)(O)=O)[C@@H](O)C(O[P](OC[C@H](OC(=O)CCCCCCCCCCCCCCC)COC(=O)CCCCCCCCCCCCCCC)(O)=O)[C@@H]1O
InChI 1S/C41H82O22P4/c1-3-5-7-9-11-13-15-17-19-21-23-25-27-29-34(42)57-31-33(59-35(43)30-28-26-24-22-20-18-16-14-12-10-8-6-4-2)32-58-67(55,56)63-38-36(44)39(60-64(46,47)48)41(62-66(52,53)54)40(37(38)45)61-65(49,50)51/h33,36-41,44-45H,3-32H2,1-2H3,(H,55,56)(H2,46,47,48)(H2,49,50,51)(H2,52,53,54)/t33-,36+,37+,38?,39-,40+,41?/m1/s1
InChIKey ZSZXYWFCIKKZBT-ZVDPZPSOSA-N
Properties
Density 1.329g/cm3 (Cal.)
Boiling point 1059.234°C at 760 mmHg (Cal.)
Flash point 594.404°C (Cal.)
Market Analysis Reports
Related Products
(4R)-4-[(3R,5R,...  (4R)-4-[(3R,5R,...  5,5''-Dihydroxy...  (R)-4,7-Dihydro...  2,10-Dihydroxyt...  2,11-Dihydroxyt...  1,8-Dihydroxy-2...  (7beta,15alpha,...  [(1R,3S,4S,6R)-...  [(1R,2S,3S,4R,5...  3,7-Dihydroxytr...  5,6-Dihydroxytr...  5,7-Dihydroxytr...  5,6-Dihydroxytr...  2,5-Dihydroxy-L...  (betas)-beta,3-...  3,6-Dihydroxy-2...  2-(2,11-Dihydro...  (5S)-3-[(13R)-1...  (5S)-3-[(13R)-1...