Online Database of Chemicals from Around the World

(1S,6R,8R,9R)-8-(6-Amino-8-Bromopurin-9-Yl)-3-[(4,5-Dimethoxy-2-Nitrophenyl)Methoxy]-3-Oxo-2,4,7-Trioxa-3-Phosphabicyclo[4.3.0]Nonan-9-Ol
[CAS 177592-87-9]

Suppliers
CAS#: 177592-87-9
Product: (1S,6R,8R,9R)-8-(6-Amino-8-Bromopurin-9-Yl)-3-[(4,5-Dimethoxy-2-Nitrophenyl)Methoxy]-3-Oxo-2,4,7-Trioxa-3-Phosphabicyclo[4.3.0]Nonan-9-Ol
No suppilers available for the product.
Identification
Name (1S,6R,8R,9R)-8-(6-Amino-8-Bromopurin-9-Yl)-3-[(4,5-Dimethoxy-2-Nitrophenyl)Methoxy]-3-Oxo-2,4,7-Trioxa-3-Phosphabicyclo[4.3.0]Nonan-9-Ol
Synonyms (1S,6R,8R,9R)-8-(6-Amino-8-Bromo-Purin-9-Yl)-3-[(4,5-Dimethoxy-2-Nitro-Phenyl)Methoxy]-3-Oxo-2,4,7-Trioxa-3$L^{5}-Phosphabicyclo[4.3.0]Nonan-9-Ol; (1S,6R,8R,9R)-8-(6-Amino-8-Bromo-9-Purinyl)-3-[(4,5-Dimethoxy-2-Nitrophenyl)Methoxy]-3-Oxo-2,4,7-Trioxa-3$L^{5}-Phosphabicyclo[4.3.0]Nonan-9-Ol; (1S,6R,8R,9R)-8-(6-Amino-8-Bromo-Purin-9-Yl)-3-(4,5-Dimethoxy-2-Nitro-Benzyl)Oxy-3-Keto-2,4,7-Trioxa-3$L^{5}-Phosphabicyclo[4.3.0]Nonan-9-Ol
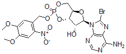
Molecular Structure CAS#: 177592-87-9, (1S,6R,8R,9R)-8-(6-Amino-8-Bromopurin-9-Yl)-3-[(4,5-Dimethoxy-2-Nitrophenyl)Methoxy]-3-Oxo-2,4,7-Trioxa-3-Phosphabicyclo[4.3.0]Nonan-9-Ol
Molecular Formula C19H20BrN6O10P
Molecular Weight 603.28
CAS Registry Number 177592-87-9
SMILES [C@@H]14O[P](OC[C@H]1O[C@@H]([N]2C3=C(N=C2Br)C(=NC=N3)N)[C@@H]4O)(OCC5=C([N+]([O-])=O)C=C(OC)C(=C5)OC)=O
InChI 1S/C19H20BrN6O10P/c1-31-10-3-8(9(26(28)29)4-11(10)32-2)5-33-37(30)34-6-12-15(36-37)14(27)18(35-12)25-17-13(24-19(25)20)16(21)22-7-23-17/h3-4,7,12,14-15,18,27H,5-6H2,1-2H3,(H2,21,22,23)/t12-,14-,15-,18-,37?/m1/s1
InChIKey DNPINJJWFMWFRD-KUUOUUIGSA-N
Properties
Density 2.101g/cm3 (Cal.)
Boiling point 850.423°C at 760 mmHg (Cal.)
Flash point 468.119°C (Cal.)
Market Analysis Reports
Related Products
3-Amino-5-(4-Br...  4-Amino-5-(2-Br...  5-Amino-2-bromo...  3-Amino-2-bromo...  [(2R,3S,4R,5R)-...  3-Amino-N-(3-Br...  4-Amino-8-bromo...  6-Amino-2-bromo...  2-Amino-6-bromo...  (2S,3R,4S,5R)-2...  [6-(6-Amino-8-B...  [(2R,3S,5S)-5-(...  [(2S,5R)-5-(6-A...  [(2S,5R)-5-(2-A...  2-Amino-3-bromo...  2-Amino-6-bromo...  2-Amino-5-bromo...  3-Amino-6-bromo...  3-Amino-6-bromo...  3-Amino-6-bromo...