Online Database of Chemicals from Around the World

Glycyl-L-Leucyl-L-Methionyl-L-Valylglycylglycyl-L-Valyl-L-Valyl-L-Isoleucyl-L-Alanine
[CAS 178949-81-0]

Suppliers
BOC Sciences USA
+1 (631) 485-4226
info@bocsci.com
Skype Chat
Chemical distributor
chemBlink massive supplier since 2012
Identification
Name Glycyl-L-Leucyl-L-Methionyl-L-Valylglycylglycyl-L-Valyl-L-Valyl-L-Isoleucyl-L-Alanine
Synonyms AMYLOID BETA/A4 PROTEIN PRECURSOR770 (704-713); H-GLY-LEU-MET-VAL-GLY-GLY-VAL-VAL-ILE-ALA-OH; GLY-LEU-MET-VAL-GLY-GLY-VAL-VAL-ILE-ALA
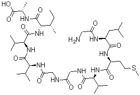
Molecular Structure CAS#: 178949-81-0, Glycyl-L-Leucyl-L-Methionyl-L-Valylglycylglycyl-L-Valyl-L-Valyl-L-Isoleucyl-L-Alanine
Molecular Formula C41H74N10O11S
Molecular Weight 915.15
CAS Registry Number 178949-81-0
SMILES CSCC[C@@H](C(=O)N[C@H](C(=O)NCC(=O)NCC(=O)N[C@H](C(=O)N[C@H](C(=O)N[C@H](C(=O)N[C@H](C(=O)O)C)[C@H](CC)C)C(C)C)C(C)C)C(C)C)NC(=O)[C@@H](NC(=O)CN)CC(C)C
InChI 1S/C41H74N10O11S/c1-13-24(10)34(40(60)45-25(11)41(61)62)51-39(59)33(23(8)9)50-38(58)32(22(6)7)48-30(54)19-43-29(53)18-44-37(57)31(21(4)5)49-35(55)26(14-15-63-12)47-36(56)27(16-20(2)3)46-28(52)17
Market Analysis Reports
Related Products
Glycyl-DL-leuci...  N-Glycyl-L-leuc...  Glycylleucylala...  Glycyl-L-leucyl...  Glycyl-L-leucyl...  Glycyl-L-leucyl...  Glycyl-L-leucyl...  Glycyl-L-leucyl...  Glycyl-L-leucyl...  Glycyl-L-leucyl...  Glycyl-L-leucyl...  Glycyl-L-leucyl...  Glycyllysine;(2...  Glycyl-L-Lysine...  4-N-Glycyllysin...  Glycyl-lysyl-ar...  Glycyl-L-Lysylg...  Glycyl-3-mercap...  Glycyl-DL-Methi...  Glycyl-L-methio...