Identification
| Name |
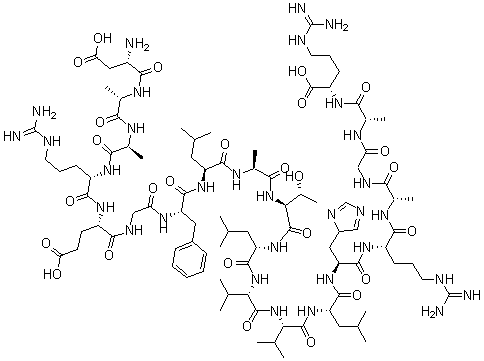
L-alpha-Aspartyl-L-Alanyl-L-Alanyl-L-Arginyl-L-alpha-Glutamylglycyl-L-Phenylalanyl-L-Leucyl-L-Alanyl-L-Threonyl-L-Leucyl-L-Valyl-L-Valyl-L-Leucyl-L-Histidyl-L-Arginyl-L-Alanylglycyl-L-Alanyl-L-Arginine |
| Synonyms |
H-ASP-ALA-ALA-ARG-GLU-GLY-PHE-LEU-ALA-THR-LEU-VAL-VAL-LEU-HIS-ARG-ALA-GLY-ALA-ARG-OH; ASP-ALA-ALA-ARG-GLU-GLY-PHE-LEU-ALA-THR-LEU-VAL-VAL-LEU-HIS-ARG-ALA-GLY-ALA-ARG; OSTEOCALCIN [ALA92]-P16 FRAGMENT 84-103 |
|
| Molecular Structure |
 |
| Molecular Formula |
C93H155N31O26 |
| Molecular Weight |
2123.42 |
| CAS Registry Number |
189064-08-2 |
| SMILES |
NC(=N)NCCC[C@@H](C(=O)N[C@H](C(=O)NCC(=O)N[C@H](C(=O)N[C@H](C(=O)O)CCCNC(=N)N)C)C)NC(=O)[C@@H](NC(=O)[C@@H](NC(=O)[C@H](C(C)C)NC(=O)[C@H](C(C)C)NC(=O)[C@@H](NC(=O)[C@H]([C@H](O)C)NC(=O)[C@@H](NC(=O)[C |
| InChI |
1S/C93H155N31O26/c1-43(2)33-61(118-84(143)64(36-54-23-18-17-19-24-54)113-67(127)41-106-79(138)59(28-29-68(128)129)116-81(140)58(26-21-31-103-92(97)98)114-76(135)51(14)109-74(133)50(13)110-78(137 |
| Protein Sequence |
H-Asp-Ala-Ala-Arg-Glu-Gly-Phe-Leu-Ala-Thr-Leu-Val-Val-Leu-His-Arg-Ala-Gly-Ala-Arg-OH |
|