Online Database of Chemicals from Around the World

Pimeloyl-Coenzyme A
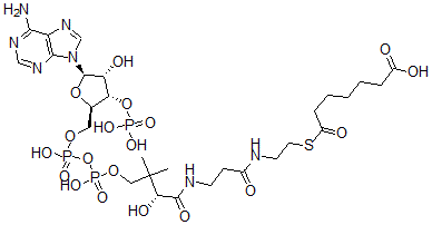
[CAS 18907-20-5]

Suppliers
CAS#: 18907-20-5
Product: Pimeloyl-Coenzyme A
No suppilers available for the product.
Identification
Name Pimeloyl-Coenzyme A
Synonyms 7-[2-[3-[[(2R)-4-[[[(2R,3S,4R,5R)-5-(6-Aminopurin-9-Yl)-4-Hydroxy-3-Phosphonooxy-Tetrahydrofuran-2-Yl]Methoxy-Hydroxy-Phosphoryl]Oxy-Hydroxy-Phosphoryl]Oxy-2-Hydroxy-3,3-Dimethyl-Butanoyl]Amino]Propanoylamino]Ethylsulfanyl]-7-Oxo-Heptanoic Acid; 7-[2-[[3-[[(2R)-4-[[[(2R,3S,4R,5R)-5-(6-Amino-9-Purinyl)-4-Hydroxy-3-Phosphonooxy-2-Tetrahydrofuranyl]Methoxy-Hydroxyphosphoryl]Oxy-Hydroxyphosphoryl]Oxy-2-Hydroxy-3,3-Dimethyl-1-Oxobutyl]Amino]-1-Oxopropyl]Amino]Ethylthio]-7-Oxoheptanoic Acid; 7-[2-[3-[[(2R)-4-[[[(2R,3S,4R,5R)-5-(6-Aminopurin-9-Yl)-4-Hydroxy-3-Phosphonooxy-Tetrahydrofuran-2-Yl]Methoxy-Hydroxy-Phosphoryl]Oxy-Hydroxy-Phosphoryl]Oxy-2-Hydroxy-3,3-Dimethyl-Butanoyl]Amino]Propanoylamino]Ethylthio]-7-Keto-Enanthic Acid
Molecular Structure CAS#: 18907-20-5, Pimeloyl-Coenzyme A
Molecular Formula C28H46N7O19P3S
Molecular Weight 909.69
CAS Registry Number 18907-20-5
SMILES [C@H]1(O[C@@H]([C@@H](O[P](=O)(O)O)[C@H]1O)CO[P](O[P](OCC([C@@H](O)C(=O)NCCC(=O)NCCSC(=O)CCCCCC(=O)O)(C)C)(=O)O)(=O)O)[N]2C3=C(N=C2)C(=NC=N3)N
InChI 1S/C28H46N7O19P3S/c1-28(2,23(41)26(42)31-9-8-17(36)30-10-11-58-19(39)7-5-3-4-6-18(37)38)13-51-57(48,49)54-56(46,47)50-12-16-22(53-55(43,44)45)21(40)27(52-16)35-15-34-20-24(29)32-14-33-25(20)35/h14-16,21-23,27,40-41H,3-13H2,1-2H3,(H,30,36)(H,31,42)(H,37,38)(H,46,47)(H,48,49)(H2,29,32,33)(H2,43,44,45)/t16-,21-,22-,23+,27-/m1/s1
InChIKey LYCRXMTYUZDUGA-UYRKPTJQSA-N
Properties
Density 1.817g/cm3 (Cal.)
References
(1) Steven Lin and John E. Cronan. Closing in on complete pathways of biotin biosynthesis, Mol. Biosyst., 2011, 7, 1811.
Market Analysis Reports
Related Products
Pimarane  Pimaric acid  Pimaricin;Natam...  Pimavanserin;1-...  Pimavanserin ta...  Pimeclone;2-(1-...  Pimecrolimus  Pimefylline;1,3...  Pimelautide;7-A...  Pimelic acid;1,...  Pimenta Leaf Oi...  Pimenta Oil;Pim...  Pimeprofen;BE 1...  Pimetacin;S-(3-...  Pimethixene;1-M...  Pimetine;4-Benz...  Pimetremide;3-H...  Piminodine;4-Ph...  Piminodine Esil...  Pimobendan;4,5-...