Online Database of Chemicals from Around the World

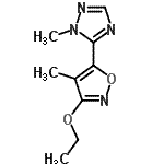
5-(3-Ethoxy-4-Methyl-1,2-Oxazol-5-Yl)-1-Methyl-1H-1,2,4-Triazole
[CAS 194286-88-9]

Suppliers
Atomax Chemicals Co., Ltd. China
+86 13417589054/
info@atomaxchem.com,atomax.chemicals@gmail.com
QQ Chat
Chemical manufacturer
Identification
Name 5-(3-Ethoxy-4-Methyl-1,2-Oxazol-5-Yl)-1-Methyl-1H-1,2,4-Triazole
Synonyms 3-ethoxy-4-methyl-5-(1-methyl-1H-1,2,4-triazol-5-yl)isoxazole
Molecular Structure CAS#: 194286-88-9, 5-(3-Ethoxy-4-Methyl-1,2-Oxazol-5-Yl)-1-Methyl-1H-1,2,4-Triazole
Molecular Formula C9H12N4O2
Molecular Weight 208.22
CAS Registry Number 194286-88-9
SMILES O(c1noc(c1C)c2ncnn2C)CC
InChI 1S/C9H12N4O2/c1-4-14-9-6(2)7(15-12-9)8-10-5-11-13(8)3/h5H,4H2,1-3H3
InChIKey UFRVETCRMQQVOR-UHFFFAOYSA-N
Properties
Density 1.337g/cm3 (Cal.)
Boiling point 411.22°C at 760 mmHg (Cal.)
Flash point 202.499°C (Cal.)
Refractive index 1.614 (Cal.)
Market Analysis Reports
Related Products
3-Ethoxy-4-Meth...  3-Ethoxy-4-Meth...  5-Ethoxy-2-Meth...  3-(3-Ethoxy-5-m...  3-(3-Ethoxy-5-m...  1-[5-(Ethoxymet...  (3-Ethoxy-4-Met...  (5-Ethoxy-4-met...  5-(3-Ethoxy-4-M...  5-(3-Ethoxy-4-M...  3-(3-Ethoxy-4-M...  5-(5-Ethoxy-4-M...  5-(3-Ethoxy-5-M...  4-(3-Ethoxy-5-M...  2-(3-Ethoxy-5-M...  3-(3-Ethoxy-5-M...  3-(Ethoxymethyl...  1-[(2R,5S)-2-Et...  1-[(2R,5R)-2-Et...  2-(2-Ethoxy-5-M...