Online Database of Chemicals from Around the World

N(2),N(6)-Dipalmitoyllysine
[CAS 20257-67-4]

Suppliers
CAS#: 20257-67-4
Product: N(2),N(6)-Dipalmitoyllysine
No suppilers available for the product.
Identification
Name N(2),N(6)-Dipalmitoyllysine
Synonyms (2S)-2,6-Bis(1-Oxohexadecylamino)Hexanoic Acid; (2S)-2,6-Dipalmitamidohexanoic Acid; N(2),N(6)-Dipalmitoyllysine
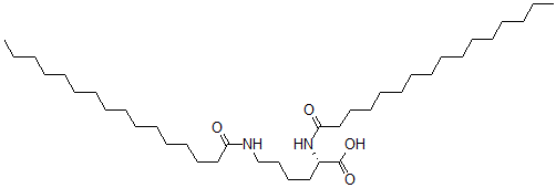
Molecular Structure CAS#: 20257-67-4, N(2),N(6)-Dipalmitoyllysine
Molecular Formula C38H74N2O4
Molecular Weight 623.01
CAS Registry Number 20257-67-4
SMILES [C@H](C(=O)O)(NC(CCCCCCCCCCCCCCC)=O)CCCCNC(CCCCCCCCCCCCCCC)=O
InChI 1S/C38H74N2O4/c1-3-5-7-9-11-13-15-17-19-21-23-25-27-32-36(41)39-34-30-29-31-35(38(43)44)40-37(42)33-28-26-24-22-20-18-16-14-12-10-8-6-4-2/h35H,3-34H2,1-2H3,(H,39,41)(H,40,42)(H,43,44)/t35-/m0/s1
InChIKey VKCGSTZAZMNTRV-DHUJRADRSA-N
Properties
Density 0.94g/cm3 (Cal.)
Boiling point 774.435°C at 760 mmHg (Cal.)
Flash point 422.163°C (Cal.)
Market Analysis Reports
Related Products
3,4-Di-O-Palmit...  1(3)-Dipalmitoy...  1,2-Di-O-Palmit...  1,2-Dipalmitoyl...  rac-1,2-Dipalmi...  Dipalmitoylglyc...  1,2-Dipalmitoyl...  Dipalmitoyl hyd...  1,2-Dipalmitoyl...  1,2-Dipalmitoyl...  1,2-Dipalmitoyl...  1,2-Dipalmitoyl...  1,2-Dipalmitoyl...  Dipalmitoylphos...  1,3-Dipalmitoyl...  Dipalmitoyl L-a...  1,2-Dipalmitoyl...  1,2-Dipalmitoyl...  Dipalmitoyl pho...  Dipalmitoyl Pho...