Online Database of Chemicals from Around the World

gamma-Amanitin
[CAS 21150-23-2]

Suppliers
CAS#: 21150-23-2
Product: gamma-Amanitin
No suppilers available for the product.
Identification
Name gamma-Amanitin
Synonyms Brn 1070216; Alpha-Amanitin, 3-(4-Hydroxy-L-Isoleucine)-, (S)-
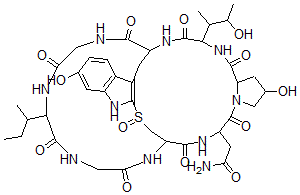
Molecular Structure CAS#: 21150-23-2, gamma-Amanitin
Molecular Formula C39H54N10O13S
Molecular Weight 902.97
CAS Registry Number 21150-23-2
SMILES C1=C(O)C=CC2=C1[NH]C3=C2CC4NC(C(NC(=O)C5N(C(C(NC(C(C[S]3=O)NC(CNC(C(C(CC)C)NC(CNC4=O)=O)=O)=O)=O)CC(=O)N)=O)CC(O)C5)C(C(O)C)C)=O
InChI 1S/C39H54N10O13S/c1-5-16(2)31-36(59)42-12-29(54)43-26-15-63(62)38-22(21-7-6-19(51)8-23(21)46-38)10-24(33(56)41-13-30(55)47-31)44-37(60)32(17(3)18(4)50)48-35(58)27-9-20(52)14-49(27)39(61)25(11-28(40)53)45-34(26)57/h6-8,16-18,20,24-27,31-32,46,50-52H,5,9-15H2,1-4H3,(H2,40,53)(H,41,56)(H,42,59)(H,43,54)(H,44,60)(H,45,57)(H,47,55)(H,48,58)
InChIKey WVHGJJRMKGDTEC-UHFFFAOYSA-N
Properties
Density 1.537g/cm3 (Cal.)
Boiling point 1566.513°C at 760 mmHg (Cal.)
Flash point 901.195°C (Cal.)
Market Analysis Reports
Related Products
(R,S)-AM 1241;(...  AM-2233;1-[(N-M...  AM-630;[6-Iodo-...  Am-694;[1-(5-Fl...  Amadacycline me...  Amadinone;Aceti...  Amafolone;[(2S,...  Amaninamide;Alp...  α-Amanitin  beta-Amanitin;9...  gamma-Amanitin,...  Amanozine;(4-Am...  Amantadine;1-Ad...  Amantadine-N-Mu...  Amantocillin;(2...  Amaranthin;(2S)...  Amarin;Tripheny...  Amarogentin  Amarolide;Aids-...  Amaronol A