Online Database of Chemicals from Around the World

2-Methyl-2-Propanyl [(3S,4S)-4-Fluoro-3-Pyrrolidinyl]Carbamate
[CAS 213388-72-8]

Suppliers
CAS#: 213388-72-8
Product: 2-Methyl-2-Propanyl [(3S,4S)-4-Fluoro-3-Pyrrolidinyl]Carbamate
No suppilers available for the product.
Identification
Name 2-Methyl-2-Propanyl [(3S,4S)-4-Fluoro-3-Pyrrolidinyl]Carbamate
Synonyms (3S,4S)-(4-Fluoropyrrolidin-3-yl)carbamic acid tert-butyl ester; MFCD22581359; tert-butyl ((3S,4S)-4-fluoropyrrolidin-3-yl)carbamate
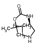
Molecular Structure CAS#: 213388-72-8, 2-Methyl-2-Propanyl [(3S,4S)-4-Fluoro-3-Pyrrolidinyl]Carbamate
Molecular Formula C9H17FN2O2
Molecular Weight 204.24
CAS Registry Number 213388-72-8
SMILES CC(C)(C)OC(=O)N[C@H]1CNC[C@@H]1F
InChI 1S/C9H17FN2O2/c1-9(2,3)14-8(13)12-7-5-11-4-6(7)10/h6-7,11H,4-5H2,1-3H3,(H,12,13)/t6-,7-/m0/s1
InChIKey BZSDDSIFAGBZLT-BQBZGAKWSA-N
Properties
Density 1.1±0.1g/cm3 (Cal.)
Boiling point 295.3±40.0°C at 760 mmHg (Cal.)
Flash point 132.4±27.3°C (Cal.)
Refractive index 1.464 (Cal.)
Market Analysis Reports
Related Products
2-Methyl-2-prop...  2-Methyl-2-prop...  2-Methyl-2-Prop...  yl 6-fluoro-1H-pyrazolo[3,4-b]pyridine-3-carboxylate";3-(tert-Butoxycarbonyl)-6-fluoro-1H-pyrazolo[3,4-b]pyridine;MFCD06797502">2-Methyl-2-Prop...  2-Methyl-2-Prop...  2-Methyl-2-prop...  2-Methyl-2-prop...  2-Methyl-2-Prop...  2-Methyl-2-Prop...  2-Methyl-2-Prop...  2-Methyl-2-prop...  2-Methyl-2-Prop...  2-Methyl-2-Prop...  2-Methyl-2-Prop...  2-Methyl-2-Prop...  2-Methyl-2-Prop...  2-Methyl-2-Prop...  2-Methyl-2-Prop...  2-Methyl-2-Prop...  2-Methyl-2-Prop...