Online Database of Chemicals from Around the World

Sucrose-6-Phosphate
[CAS 22372-29-8]

Suppliers
CAS#: 22372-29-8
Product: Sucrose-6-Phosphate
No suppilers available for the product.
Identification
Name Sucrose-6-Phosphate
Synonyms [(2R,3S,4S,5R,6R)-6-[(2S,3S,4S,5R)-3,4-Dihydroxy-2,5-Bis(Hydroxymethyl)Tetrahydrofuran-2-Yl]Oxy-3,4,5-Trihydroxy-Tetrahydropyran-2-Yl]Methyl Dihydrogen Phosphate; [(2R,3S,4S,5R,6R)-6-[[(2S,3S,4S,5R)-3,4-Dihydroxy-2,5-Bis(Hydroxymethyl)-2-Tetrahydrofuranyl]Oxy]-3,4,5-Trihydroxy-2-Tetrahydropyranyl]Methyl Dihydrogen Phosphate; [(2R,3S,4S,5R,6R)-6-[(2S,3S,4S,5R)-3,4-Dihydroxy-2,5-Dimethylol-Tetrahydrofuran-2-Yl]Oxy-3,4,5-Trihydroxy-Tetrahydropyran-2-Yl]Methyl Dihydrogen Phosphate
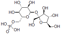
Molecular Structure CAS#: 22372-29-8, Sucrose-6-Phosphate
Molecular Formula C12H23O14P
Molecular Weight 422.28
CAS Registry Number 22372-29-8
SMILES [C@]2(O[C@H]1O[C@H](CO[P](O)(O)=O)[C@@H](O)[C@H](O)[C@H]1O)(O[C@H](CO)[C@@H](O)[C@@H]2O)CO
InChI 1S/C12H23O14P/c13-1-4-7(16)10(19)12(3-14,25-4)26-11-9(18)8(17)6(15)5(24-11)2-23-27(20,21)22/h4-11,13-19H,1-3H2,(H2,20,21,22)/t4-,5-,6-,7-,8+,9-,10+,11-,12+/m1/s1
InChIKey WQQSIXKPRAUZJL-UGDNZRGBSA-N
Properties
Density 1.905g/cm3 (Cal.)
Boiling point 810.665°C at 760 mmHg (Cal.)
Flash point 444.074°C (Cal.)
Market Analysis Reports
Related Products
Sucrose Octanoa...  Sucrose Octasul...  Sucroseoctasulf...  Sucrose Octasul...  Sucrose octasul...  Sucrose Oleate;...  Sucrose Palmita...  Sucrose 2,3,3',...  Sucrose Pentala...  Sucrose Pentamy...  Sucrose Phospha...  Sucrose phospho...  Sucrose stearat...  Sucrose Sulfate...  Sucrose Tetramy...  Sucrose Tetrast...  Sucrose Tribehe...  Sucrose Triolea...  Sucrose-Ul-14c ...  Sudan Brown RR;...