Online Database of Chemicals from Around the World

Inositol cyclic-1,2:3,4:5,6-tris(P,P'-dihydrogen diphosphate) hexasodium salt
[CAS 23103-35-7]

List of Suppliers
BOC Sciences USA
www.bocsci.com
+1 (631) 485-4226
+1 (631) 614-7828
info@bocsci.com
Chemical manufacturer
chemBlink Standard supplier since 2010
Glentham Life Sciences UK
www.glenthamls.com
+44 (2033) 978-798
+44 (2033) 978-909
info@glenthamls.com
Chemical distributor since 2013
chemBlink Standard supplier since 2013
R&D Scientific Inc. Canada
www.rdscientific.com
+1 (226) 600-0236
sales@rdscientific.com
Chemical manufacturer since 2016
chemBlink Standard supplier since 2023

Identification
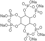
NameInositol cyclic-1,2:3,4:5,6-tris(P,P'-dihydrogen diphosphate) hexasodium salt
Molecular StructureInositol cyclic-1,2:3,4:5,6-tris(P,P'-dihydrogen diphosphate) hexasodium salt molecular structure (CAS 23103-35-7)
Molecular FormulaC6H6O21P6.6Na
Molecular Weight737.88
CAS Registry Number23103-35-7
Market Analysis Reports
Related Products
(R)-D-myo-Inosi...  Inositol 3,4-Bi...  Inositol 4,5-Bi...  Inositol 1,4-Bi...  Myo-Inositol 1,...  myo-Inositol 1-...  Inositol 1,2-Cy...  D-myo-Inositol ...  Inositol-1,2-Cy...  D-myo-Inositol ...  myo-Inositol-d6  myo-Inositol 1,...  Inositol hexaki...  myo-Inositol he...  myo-Inositol he...  Inositol Hexasu...  myo-Inositol 1-...  myo-Inositol mo...  Inositol monoph...  D-myo-Inositol ...