Identification
| Name |
(4-Ethyl-Phe)(2)-Oxytocin |
| Synonyms |
1-[19-Amino-7-(2-Amino-2-Oxo-Ethyl)-10-(3-Amino-3-Oxo-Propyl)-16-[(4-Ethylphenyl)Methyl]-6,9,12,15,18-Pentaoxo-13-Sec-Butyl-1,2-Dithia-5,8,11,14,17-Pentazacycloicosane-4-Carbonyl]-N-[1-[(2-Amino-2-Oxo-Ethyl)Carbamoyl]-3-Methyl-Butyl]Pyrrolidine-2-Carboxamide; 1-[[19-Amino-7-(2-Amino-2-Oxoethyl)-10-(3-Amino-3-Oxopropyl)-16-[(4-Ethylphenyl)Methyl]-6,9,12,15,18-Pentaoxo-13-Sec-Butyl-1,2-Dithia-5,8,11,14,17-Pentazacycloicos-4-Yl]-Oxomethyl]-N-[1-[[(2-Amino-2-Oxoethyl)Amino]-Oxomethyl]-3-Methylbutyl]-2-Pyrrolidinecarboxamide; 1-[19-Amino-7-(2-Amino-2-Keto-Ethyl)-10-(3-Amino-3-Keto-Propyl)-16-(4-Ethylbenzyl)-6,9,12,15,18-Pentaketo-13-Sec-Butyl-1,2-Dithia-5,8,11,14,17-Pentazacycloicosane-4-Carbonyl]-N-[1-[(2-Amino-2-Keto-Ethyl)Carbamoyl]-3-Methyl-Butyl]Pyrrolidine-2-Carboxamide |
|
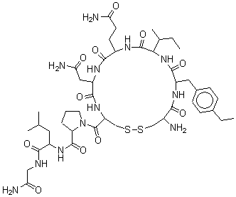
| Molecular Structure |
 |
| Molecular Formula |
C45H70N12O11S2 |
| Molecular Weight |
1019.24 |
| CAS Registry Number |
24870-58-4 |
| SMILES |
C3=C(CC1NC(=O)C(N)CSSCC(NC(=O)C(NC(=O)C(NC(=O)C(NC1=O)C(CC)C)CCC(=O)N)CC(=O)N)C(=O)N2C(C(=O)NC(C(=O)NCC(=O)N)CC(C)C)CCC2)C=CC(=C3)CC |
| InChI |
1S/C45H70N12O11S2/c1-6-24(5)37-44(67)51-28(14-15-34(47)58)40(63)53-31(19-35(48)59)41(64)55-32(45(68)57-16-8-9-33(57)43(66)54-29(17-23(3)4)39(62)50-20-36(49)60)22-70-69-21-27(46)38(61)52-30(42(65)56-37)18-26-12-10-25(7-2)11-13-26/h10-13,23-24,27-33,37H,6-9,14-22,46H2,1-5H3,(H2,47,58)(H2,48,59)(H2,49,60)(H,50,62)(H,51,67)(H,52,61)(H,53,63)(H,54,66)(H,55,64)(H,56,65) |
| InChIKey |
USPHIKQODZFOHJ-UHFFFAOYSA-N |
|