Online Database of Chemicals from Around the World

Neoagarooctaose
[CAS 25023-94-3]

List of Suppliers
Qingdao Bz Oligo Biotech Co., Ltd. China
www.marine-oligo.com
+86 (532) 8192-6227
+86 (532) 8192-6219
ann@marine-oligo.com
Chemical manufacturer since 2010
chemBlink Standard supplier since 2016

Identification
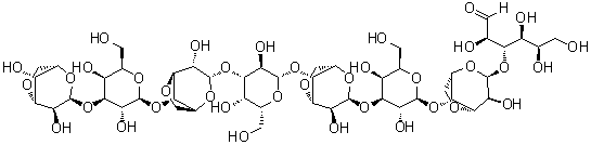
NameNeoagarooctaose
SynonymsD-O-3,6-Anhydro-alpha-L-galactopyranosyl-(1→3)-O-beta-D-galactopyranosyl-(1→4)-O-3,6-anhydro-alpha-L-galactopyranosyl-(1→3)-O-beta-D-galactopyranosyl-(1→4)-O-3,6-anhydro-alpha-L-galactopyranosyl-(1→3)-O-beta-D-galactopyranosyl-(1→4)-O-3,6-anhydro-alpha-L-galactopyranosyl-(1→3)-galactose
Molecular StructureNeoagarooctaose molecular structure (CAS 25023-94-3)
Molecular FormulaC48H74O37
Molecular Weight1243.08
CAS Registry Number25023-94-3
Properties
SolubilitySlightly soluble (1.5 g/L) (25 °C), Calc.*
Density1.84±0.1 g/cm3 (20 °C 760 Torr), Calc.*
*Calculated using Advanced Chemistry Development (ACD/Labs) Software V11.02 (©1994-2016 ACD/Labs)
Market Analysis Reports
Related Products
Nemonapride  Nemonapride  Nemonoxacin  Nemoralisin  Nemoralisin C  Nemorubicin  Neoabietic acid  Neoagarobiose  Neoagarohexaito...  Neoagarohexaose  Neoagarotetraos...  Neoalsoside A  Neoandrographol...  Neoantimycin  Neoarsphenamine  Neobaicalein  Neobavaisoflavo...  Neobellieria bu...  Neobiliverdine ...  Neobritannilact...