Online Database of Chemicals from Around the World

N-(3-Hydroxy-2-Methylpropanoyl)Glycine
[CAS 256928-69-5]

Suppliers
Atomax Chemicals Co., Ltd. China
+86 13417589054/
info@atomaxchem.com,atomax.chemicals@gmail.com
QQ Chat
Chemical manufacturer
Identification
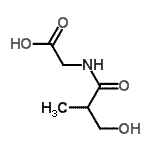
Name N-(3-Hydroxy-2-Methylpropanoyl)Glycine
Synonyms 2-(3-hydroxy-2-methylpropanamido)acetic acid
Molecular Structure CAS#: 256928-69-5, N-(3-Hydroxy-2-Methylpropanoyl)Glycine
Molecular Formula C6H11NO4
Molecular Weight 161.16
CAS Registry Number 256928-69-5
SMILES O=C(NCC(O)=O)C(C)CO
InChI 1S/C6H11NO4/c1-4(3-8)6(11)7-2-5(9)10/h4,8H,2-3H2,1H3,(H,7,11)(H,9,10)
InChIKey QJCFYDHPKKEQMT-UHFFFAOYSA-N
Properties
Density 1.279g/cm3 (Cal.)
Boiling point 461.743°C at 760 mmHg (Cal.)
Flash point 233.054°C (Cal.)
Refractive index 1.491 (Cal.)
Market Analysis Reports
Related Products
2-Hydroxymethyl...  2-Hydroxy-2-Met...  3-Hydroxy-2-Met...  2-Hydroxy-2-met...  (1Z)-2-Hydroxy-...  N'-Hydroxy-2-me...  2-[(1Z)-N-Hydro...  (R)-2-Hydroxyme...  3-Hydroxy-2-Met...  3-Hydroxy-2-met...  N-(2-Hydroxy-2-...  [(8R,9S,13S,14S...  1-Hydroxy-2-Met...  5-{2-Hydroxy-3-...  4-{(2S)-2-Hydro...  N-Hydroxy-4-(2-...  1-(1-Hydroxy-2-...  N'-Hydroxy-4-(2...  3-Hydroxy-5-(2-...  2-Hydroxy-5-(2-...