Online Database of Chemicals from Around the World

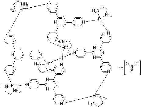
Hexakis(1,2-ethanediamine)tetrakis[mu3-[2,4,6-tri(4-pyridinyl)-1,3,5-triazine]]hexaplatinum dodecanitrate
[CAS 262354-73-4]

List of Suppliers
Alfa Chemistry USA
www.alfa-chemistry.com
+1 (201) 478-8534
+1 (516) 927-0118
inquiry@alfa-chemistry.com
Chemical distributor since 2012
chemBlink Standard supplier since 2012

Identification
ClassificationOrganic raw materials >> Heterocyclic compound >> Triazines
NameHexakis(1,2-ethanediamine)tetrakis[mu3-[2,4,6-tri(4-pyridinyl)-1,3,5-triazine]]hexaplatinum dodecanitrate
Molecular StructureHexakis(1,2-ethanediamine)tetrakis[mu3-[2,4,6-tri(4-pyridinyl)-1,3,5-triazine]]hexaplatinum dodecanitrate molecular structure (CAS 262354-73-4)
Molecular FormulaC84H96N36Pt6.12(NO3)
Molecular Weight3524.47
CAS Registry Number262354-73-4
Market Analysis Reports
Related Products
Hexakis-(6-deox...  2,2,4,4,6,6-Hex...  Hexakis(dimethy...  1,1,1,5,5,5-Hex...  Hexakis(dimethy...  1,1,1,3,3,3-Hex...  1,1,1,3,3,3-Hex...  Hexakis(6-dimet...  2,2,4,4,6,6-Hex...  Hexakis(1,2-eth...  Hexakis(ethoxyi...  N,N,N',N',N'',N...  Hexakis(2-Ethyl...  2,2,4,4,6,6-Hex...  2,2,4,4,6,6-Hex...  2,2,4,4,6,6-Hex...  2,2,4,4,6,6-Hex...  Hexakis(1,1,5-h...  Hexakis(1H-Imid...  (OC-6-11)-Hexak...