Online Database of Chemicals from Around the World

Destruxin D
[CAS 27482-50-4]

Suppliers
CAS#: 27482-50-4
Product: Destruxin D
No suppilers available for the product.
Identification
Name Destruxin D
Synonyms 3-(13-Isopropyl-10,11,14-Trimethyl-2,5,9,12,15,18-Hexaoxo-16-Sec-Butyl-4-Oxa-1,8,11,14,17-Pentazabicyclo[17.3.0]Docosan-3-Yl)-2-Methyl-Propanoic Acid; 3-(13-Isopropyl-10,11,14-Trimethyl-2,5,9,12,15,18-Hexaoxo-16-Sec-Butyl-4-Oxa-1,8,11,14,17-Pentazabicyclo[17.3.0]Docosan-3-Yl)-2-Methylpropanoic Acid; 3-(13-Isopropyl-2,5,9,12,15,18-Hexaketo-10,11,14-Trimethyl-16-Sec-Butyl-4-Oxa-1,8,11,14,17-Pentazabicyclo[17.3.0]Docosan-3-Yl)-2-Methyl-Propionic Acid
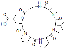
Molecular Structure CAS#: 27482-50-4, Destruxin D
Molecular Formula C30H49N5O9
Molecular Weight 623.75
CAS Registry Number 27482-50-4
SMILES C(C1C(N2C(C(NC(C(N(C(C(N(C(C(NCCC(=O)O1)=O)C)C)=O)C(C)C)C)=O)C(CC)C)=O)CCC2)=O)C(C(=O)O)C
InChI 1S/C30H49N5O9/c1-9-17(4)23-28(40)34(8)24(16(2)3)29(41)33(7)19(6)25(37)31-13-12-22(36)44-21(15-18(5)30(42)43)27(39)35-14-10-11-20(35)26(38)32-23/h16-21,23-24H,9-15H2,1-8H3,(H,31,37)(H,32,38)(H,42,43)
InChIKey WTVZRLMVNARECX-UHFFFAOYSA-N
Properties
Density 1.245g/cm3 (Cal.)
Boiling point 952.969°C at 760 mmHg (Cal.)
Flash point 530.137°C (Cal.)
Market Analysis Reports
Related Products
Desthiobiotin;6...  rac-Desthio Bio...  Destomycin A;4-...  Des-1,2,4-triaz...  Destrifluoroeth...  Des(trifluoroet...  Des-Trp(1)-Asp(...  Destruxin A;3-A...  Destruxin B;(3R...  Destruxin C;3-(...  Destyr(1)-Destr...  Des-Tyr-1-Leuci...  (Des-Tyr1)-Leu-...  Des-Tyr(5)-Lhrh...  4-Desulfo-Caeru...  2-Desulfo-Chole...  Desulfo Coenzym...  Desulfo Glucora...  63-Desulfo-Hiru...  4-Desulfo-4-hyd...