Online Database of Chemicals from Around the World

2-(2,4,5-Trichlorophenyl)Propionic Acid 2-Butoxypropanol Ester
[CAS 28903-26-6]

Suppliers
CAS#: 28903-26-6
Product: 2-(2,4,5-Trichlorophenyl)Propionic Acid 2-Butoxypropanol Ester
No suppilers available for the product.
Identification
Name 2-(2,4,5-Trichlorophenyl)Propionic Acid 2-Butoxypropanol Ester
Synonyms 2-(2,4,5-Trichlorophenoxy)Propanoic Acid 2-Butoxypropyl Ester; 2-(2,4,5-Trichlorophenoxy)Propionic Acid 2-Butoxypropyl Ester; Propanoic Acid, 2-(2,4,5-Trichlorophenoxy)-, Ester With 1(Or 2)-Butoxypropanol
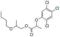
Molecular Structure CAS#: 28903-26-6, 2-(2,4,5-Trichlorophenyl)Propionic Acid 2-Butoxypropanol Ester
Molecular Formula C16H21Cl3O4
Molecular Weight 383.70
CAS Registry Number 28903-26-6
SMILES C1=C(C(=CC(=C1Cl)Cl)OC(C(=O)OCC(OCCCC)C)C)Cl
InChI 1S/C16H21Cl3O4/c1-4-5-6-21-10(2)9-22-16(20)11(3)23-15-8-13(18)12(17)7-14(15)19/h7-8,10-11H,4-6,9H2,1-3H3
InChIKey GGBJOVSUUMMPCG-UHFFFAOYSA-N
Properties
Density 1.244g/cm3 (Cal.)
Boiling point 449.533°C at 760 mmHg (Cal.)
Flash point 156.723°C (Cal.)
Market Analysis Reports
Related Products
2,4,5-Trichloro...  2,2,2-Trichloro...  1-(2,4,6-Trichl...  1-(2',4',6'-Tri...  2,4,5-Trichloro...  2,4,6-Trichloro...  (2,4,5-Trichlor...  Tri(4-chlorophe...  Tri(4-Chlorophe...  1-(2,4,6-Trichl...  Trichloro(3-Phe...  3,4,5-Trichloro...  5-(2,3,5-Trichl...  1-(2,4,5-Trichl...  Trichlorophenyl...  N-(3,4,5-Trichl...  1,2,4-Trichloro...  1-(2,4,6-Trichl...  ((2,3,4-Trichlo...  Trichloro(Pheny...