Online Database of Chemicals from Around the World

Dihydroginsenoside Rg3
[CAS 30010-01-6]

List of Suppliers
CAS: 30010-01-6
Product: Dihydroginsenoside Rg3
No suppliers available.
Identification
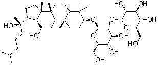
NameDihydroginsenoside Rg3
Synonyms(3beta,12beta)-12,20-Dihydroxydammaran-3-yl 2-O-beta-D-glucopyranosyl-beta-D-glucopyranoside; 24,25-Dihydroginsenoside Rg3; 2H-Ginsenoside Rg3
Molecular StructureDihydroginsenoside Rg3 molecular structure (CAS 30010-01-6)
Molecular FormulaC42H74O13
Molecular Weight787.03
CAS Registry Number30010-01-6
Properties
SolubilityInsoluble (9.4E-5 g/L) (25 °C), Calc.*
Density1.29±0.1 g/cm3 (20 °C 760 Torr), Calc.*
*Calculated using Advanced Chemistry Development (ACD/Labs) Software V11.02 (©1994-2017 ACD/Labs)
Market Analysis Reports
Related Products
Dihydrogen Hexa...  Dihydrogen hexa...  Dihydrogenistei...  DIHYDROGEN MAGN...  Dihydrogen Sulf...  Dihydrogentetra...  Dihydrogen Tetr...  [Dihydrogen 3,7...  dihydrogentetra...  6,7-Dihydrogera...  9,10-Dihydro-9-...  Dihydrogranatic...  Dihydrogrieseni...  Dihydrogrisorix...  (±)-Dihydroguai...  Dihydroguaiaret...  2,3-Dihydro-2-(...  2,3-Dihydro1h-C...  11,13-Dihydrohe...  (8Z,9Z,11Z,12Z)...