Online Database of Chemicals from Around the World

Tolypomycin R
[CAS 33889-22-4]

Suppliers
CAS#: 33889-22-4
Product: Tolypomycin R
No suppilers available for the product.
Identification
Name Tolypomycin R
Synonyms Tolypomycin Y, 1,4-Didehydro-1-Deoxo-4,35-Dihydro-1-Hydroxy-; B-2847-R; L-Erythro-Hexopyranose, 2,3,4,6-Tetradeoxy-4-((5,6,11,12,13,14,15,16,16A,17,17A,18,21,22-Tetradecahydro-2,12,14,16,26-Pentahydroxy-10-Methoxy-3,6,11,13,15,20-Hexamethyl-5,18,21-Trioxo-10H-4,6-Epoxy-1,23-Methenobenzo(D)Cycloprop(N)(1,9)Oxaazacyclotetracosin-25-Yl)Amino)-, 12-Acetate
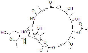
Molecular Structure CAS#: 33889-22-4, Tolypomycin R
Molecular Formula C43H56N2O14
Molecular Weight 824.92
CAS Registry Number 33889-22-4
SMILES CC25OC1=C(C(=C3C(=C1C2=O)C(=CC(=C3O)NC(=O)C(=C\C(=O)C4C(C4)C(O)C(C(O)C(C(OC(=O)C)C(C(OC)\C=C/O5)C)C)C)/C)NC6C(OC(O)CC6)C)O)C
InChI 1S/C43H56N2O14/c1-17-14-29(47)24-15-25(24)36(50)19(3)35(49)20(4)39(58-23(7)46)18(2)30(55-9)12-13-56-43(8)41(53)34-32-27(44-26-10-11-31(48)57-22(26)6)16-28(45-42(17)54)38(52)33(32)37(51)21(5)40(34)59-43/h12-14,16,18-20,22,24-26,30-31,35-36,39,44,48-52H,10-11,15H2,1-9H3,(H,45,54)/b13-12-,17-14-
InChIKey RUJHPEIRGYGPOM-WVPYDLLPSA-N
Properties
Density 1.395g/cm3 (Cal.)
Boiling point 969.796°C at 760 mmHg (Cal.)
Flash point 540.313°C (Cal.)
Market Analysis Reports
Related Products
1-(p-Tolyl)-4-[...  p-Tolyltrimethy...  p-Tolyl [2-(tri...  p-Tolyltripheny...  p-Tolyl Undec-1...  2-Tolylurea;(2-...  4-Tolylurea;1-(...  p-Tolyl Vinyl S...  (R)-1-(3-tolyph...  (S)-1-(3-tolyph...  Tolypomycin Y;T...  3'-(4-Tolysulfo...  Tolytriazole so...  Tomanol;4-Butyl...  Tomatidin;5alph...  Tomatidine hydr...  Tomaymycin;(2E,...  Tombozine  Tomeglovir;N-[4...  Tomencephalin;T...