Online Database of Chemicals from Around the World

(8beta(S))-9,10-Didehydro-N-(2-Hydroxy-1-Methylethyl)-6-Methyl-Ergoline-8-Carboxamide (Z)-2-Butenedioate (1:1) (Salt) Mixt. With Oxytocin
[CAS 37209-62-4]

Suppliers
CAS#: 37209-62-4
Product: (8beta(S))-9,10-Didehydro-N-(2-Hydroxy-1-Methylethyl)-6-Methyl-Ergoline-8-Carboxamide (Z)-2-Butenedioate (1:1) (Salt) Mixt. With Oxytocin
No suppilers available for the product.
Identification
Name (8beta(S))-9,10-Didehydro-N-(2-Hydroxy-1-Methylethyl)-6-Methyl-Ergoline-8-Carboxamide (Z)-2-Butenedioate (1:1) (Salt) Mixt. With Oxytocin
Synonyms Oxymetrin; Oxytocin, Mixt. With (8Beta)-9,10-Didehydro-N-(1S)-2-Hydroxy-1-Methylethyl)-6-Methylergoline-8-Carboxamide (2Z)-2-Butenedioate (1:1) (Salt); Syntometrine
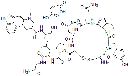
Molecular Structure CAS#: 37209-62-4, (8beta(S))-9,10-Didehydro-N-(2-Hydroxy-1-Methylethyl)-6-Methyl-Ergoline-8-Carboxamide (Z)-2-Butenedioate (1:1) (Salt) Mixt. With Oxytocin
Molecular Formula C66H93N15O18S2
Molecular Weight 1448.67
CAS Registry Number 37209-62-4
SMILES [C@H]14N(C[C@@H](C=C1C2=CC=CC3=C2C(=C[NH]3)C4)C(=O)N[C@H](CO)C)C.[C@@H]7(N(C(=O)[C@H]5NC(=O)[C@@H](NC(=O)[C@@H](NC(=O)C(NC(=O)[C@@H](NC(=O)[C@@H](N)CSSC5)CC6=CC=C(O)C=C6)[C@H](CC)C)CCC(=O)N)CC(=O)N)CCC7)C(=O)N[C@H](C(=O)NCC(=O)N)CC(C)C.O=C(O)\C=C/C(=O)O
InChI 1S/C43H66N12O12S2.C19H23N3O2.C4H4O4/c1-5-22(4)35-42(66)49-26(12-13-32(45)57)38(62)51-29(17-33(46)58)39(63)53-30(20-69-68-19-25(44)36(60)50-28(40(64)54-35)16-23-8-10-24(56)11-9-23)43(67)55-14-6-7-31(55)41(65)52-27(15-21(2)3)37(61)48-18-34(47)59;1-11(10-23)21-19(24)13-6-15-14-4-3-5-16-18(14)12(8-20-16)7-17(15)22(2)9-13;5-3(6)1-2-4(7)8/h8-11,21-22,25-31,35,56H,5-7,12-20,44H2,1-4H3,(H2,45,57)(H2,46,58)(H2,47,59)(H,48,61)(H,49,66)(H,50,60)(H,51,62)(H,52,65)(H,53,63)(H,54,64);3-6,8,11,13,17,20,23H,7,9-10H2,1-2H3,(H,21,24);1-2H,(H,5,6)(H,7,8)/b;;2-1-/t22-,25-,26-,27-,28-,29-,30-,31-,35?;11-,13+,17+;/m00./s1
InChIKey CEDGTLOSFDBJKR-KVXRPJDVSA-N
Properties
Boiling point 1533.3°C at 760 mmHg (Cal.)
Flash point 881.1°C (Cal.)
Market Analysis Reports
Related Products
(15beta,16E)-19...  9,10-Didehydro-...  2,3-Didehydro G...  5,6-Didehydrogi...  Didehydroglauci...  1-(1-(N-(N2-(1-...  (8beta)-9,10-Di...  (19S)-2,16-Dide...  4,20-Didehydro-...  1,6-Didehydro-1...  (8alpha(S))-9,1...  (15beta,16Z,20Ξ...  6,7-Didehydro-1...  4,5-Didehydrois...  14,15-Didehydro...  1,6-Didehydro-3...  (19alpha)-16,17...  (20alpha)-16,17...  (3b,20a)-16,17-...  (20a)-16,17-Did...