Online Database of Chemicals from Around the World

Tetrakis[N-phthaloyl-(R)-tert-leucinate]dirhodium
[CAS 380375-05-3]

List of Suppliers
Sinocompound Catalysts Co., Ltd. China
www.sinocompound.com
+86 (512) 6721-6630
+86 (512) 5631-6689
sales@sinocompound.com
Chemical manufacturer since 2008
chemBlink Standard supplier since 2010

Identification
ClassificationBiochemical >> Amino acids and their derivatives >> Leucine derivative
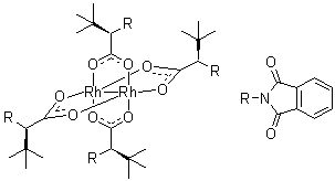
NameTetrakis[N-phthaloyl-(R)-tert-leucinate]dirhodium
Molecular StructureTetrakis[N-phthaloyl-(R)-tert-leucinate]dirhodium molecular structure (CAS 380375-05-3)
Molecular FormulaC56H56N4O16Rh2
Molecular Weight1246.87
CAS Registry Number380375-05-3
Safety Data
SDSAvailable
Market Analysis Reports
Related Products
2,3,4,6-Tetraki...  Tetrakis(4-Phen...  {2,9,16,24-Tetr...  [2,9,17,24-Tetr...  1,4,5,8-Tetraki...  [2,9,16,23-tetr...  2,9,16,23-Tetra...  1,8,15,22-tetra...  [[3,6,9,12-Tetr...  Tetrakis[(Phosp...  Tetrakis[N-phth...  Tetrakis(pivala...  3,3,4,4-Tetraki...  Tetrakis(2-prop...  Tetrakis(1-pyra...  (OC-6-12)-Tetra...  N,N,N',N'-Tetra...  1,1,2,2-Tetraki...  1,1,2,2-Tetraki...  5,10,15,20-Tetr...