Online Database of Chemicals from Around the World

3b-[[3-O,4-O-(1-Ethylnonylidene)-2,6-Dideoxy-beta-D-Ribo-Hexopyranosyl]Oxy]-5,14-Dihydroxy-19-Oxo-5b-Card-20(22)-Enolide
[CAS 40279-49-0]

Suppliers
CAS#: 40279-49-0
Product: 3b-[[3-O,4-O-(1-Ethylnonylidene)-2,6-Dideoxy-beta-D-Ribo-Hexopyranosyl]Oxy]-5,14-Dihydroxy-19-Oxo-5b-Card-20(22)-Enolide
No suppilers available for the product.
Identification
Name 3b-[[3-O,4-O-(1-Ethylnonylidene)-2,6-Dideoxy-beta-D-Ribo-Hexopyranosyl]Oxy]-5,14-Dihydroxy-19-Oxo-5b-Card-20(22)-Enolide
Synonyms (3R,5S,10S,13R,14S,17R)-3-[[(3Ar,6R)-2-Ethyl-4-Methyl-2-Octyl-4,6,7,7A-Tetrahydro-3Ah-[1,3]Dioxolo[4,5-D]Pyran-6-Yl]Oxy]-5,14-Dihydroxy-13-Methyl-17-(5-Oxo-2H-Furan-3-Yl)-2,3,4,6,7,8,9,11,12,15,16,17-Dodecahydro-1H-Cyclopenta[A]Phenanthrene-10-Carboxaldehyde; (3R,5S,10S,13R,14S,17R)-3-[[(3Ar,6R)-2-Ethyl-4-Methyl-2-Octyl-4,6,7,7A-Tetrahydro-3Ah-[1,3]Dioxolo[4,5-D]Pyran-6-Yl]Oxy]-5,14-Dihydroxy-17-(5-Keto-2H-Furan-3-Yl)-13-Methyl-2,3,4,6,7,8,9,11,12,15,16,17-Dodecahydro-1H-Cyclopenta[A]Phenanthrene-10-Carbaldehyde; 5-Beta-Card-20(22)-Enolide, 3-Beta-((2,6-Dideoxy-3,4-O-(1-Ethylnonylidene)-Beta-
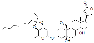
Molecular Structure CAS#: 40279-49-0, 3b-[[3-O,4-O-(1-Ethylnonylidene)-2,6-Dideoxy-beta-D-Ribo-Hexopyranosyl]Oxy]-5,14-Dihydroxy-19-Oxo-5b-Card-20(22)-Enolide
Molecular Formula C40H62O9
Molecular Weight 686.92
CAS Registry Number 40279-49-0
SMILES [C@@]56(O)C1C([C@@]4([C@](O)(CC1)C[C@H](O[C@@H]3OC([C@H]2OC(OC2C3)(CCCCCCCC)CC)C)CC4)C=O)CC[C@@]5([C@H](CC6)C7=CC(OC7)=O)C
InChI 1S/C40H62O9/c1-5-7-8-9-10-11-16-39(6-2)48-32-22-34(46-26(3)35(32)49-39)47-28-12-18-37(25-41)30-13-17-36(4)29(27-21-33(42)45-24-27)15-20-40(36,44)31(30)14-19-38(37,43)23-28/h21,25-26,28-32,34-35,43-44H,5-20,22-24H2,1-4H3/t26?,28-,29-,30?,31?,32?,34+,35-,36-,37+,38+,39?,40+/m1/s1
InChIKey ITLPNNVWSWFOJO-CYFWAWKSSA-N
Properties
Density 1.213g/cm3 (Cal.)
Boiling point 775.852°C at 760 mmHg (Cal.)
Flash point 230.326°C (Cal.)
Market Analysis Reports
Related Products
2-Ethylnonan-1-...  5-Ethylnonan-2-...  5-Ethylnonan-2-...  Ethyl Non-2-Eno...  Ethyl Non-8-Eno...  Ethyl cis-4-non...  5-Ethylnon-2-En...  5-Ethylnon-3-En...  1-(3-Ethyl-4-No...  Ethyl 2-nonylac...  Ethyl 2-Nonynoa...  N-Ethylnorapomo...  (3alpha,5beta,6...  (R,S)-N-Ethylno...  N-Ethylnordiaze...  N-Ethyl-dl-nore...  Ethylnorepineph...  2-Ethylnorleuci...  Ethyl L-(5,5-  2-Ethylnorleuci...