Online Database of Chemicals from Around the World

3-[(2-Methoxyethoxy)Iminomethyl]Rifamycin SV
[CAS 41776-68-5]

Suppliers
CAS#: 41776-68-5
Product: 3-[(2-Methoxyethoxy)Iminomethyl]Rifamycin SV
No suppilers available for the product.
Identification
Name 3-[(2-Methoxyethoxy)Iminomethyl]Rifamycin SV
Synonyms 3-Formylrifamycin Sv O-(2-Methoxyethyl)Oxime; Brn 5418366
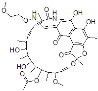
Molecular Structure CAS#: 41776-68-5, 3-[(2-Methoxyethoxy)Iminomethyl]Rifamycin SV
Molecular Formula C41H54N2O14
Molecular Weight 798.88
CAS Registry Number 41776-68-5
SMILES C(ON/C=C2/C(=O)C1=C3C(=C(C4=C1C(=O)C(O/C=C/C(OC)C(C(OC(=O)C)C(C(O)C(C(O)C(C)\C=C\C=C(C(=O)NC2=C3O)\C)C)C)C)(O4)C)C)O)COC
InChI 1S/C41H54N2O14/c1-19-12-11-13-20(2)40(51)43-31-26(18-42-55-17-16-52-9)35(48)28-29(36(31)49)34(47)24(6)38-30(28)39(50)41(8,57-38)54-15-14-27(53-10)21(3)37(56-25(7)44)23(5)33(46)22(4)32(19)45/h11-15,18-19,21-23,27,32-33,37,42,45-47,49H,16-17H2,1-10H3,(H,43,51)/b12-11+,15-14+,20-13-,26-18+
InChIKey KVOBFYMQXZJVLS-YJOQZVSGSA-N
Market Analysis Reports
Related Products
5-[[2-(2-Methox...  3-[[2-(2-Methox...  1-[2-(2-Methoxy...  N-[2-(2-Methoxy...  2-(2-Methoxyeth...  2-(2-Methoxyeth...  2-(2-Methoxyeth...  2-[[2-(2-Methox...  N'-[2-(2-Methox...  2-(2-Methoxyeth...  5-(2-Methoxyeth...  3-[(2-Methoxyet...  (1S,2R)-2-[(2-M...  (1S)-1-[3-[(2-M...  2-[3-[(2-Methox...  6-(2-Methoxyeth...  2-[(2-Methoxyet...  3-[(2-Methoxyet...  4-[(2-Methoxyet...  2-Methoxyethoxy...