Identification
| Name |
Deoxyguanylyl-(3'-5')-Deoxyadenosine |
| Synonyms |
[(2R,3S,5R)-5-(2-Amino-6-Oxo-3H-Purin-9-Yl)-3-Hydroxy-Tetrahydrofuran-2-Yl]Methyl [(2R,3S,5R)-5-(6-Aminopurin-9-Yl)-3-Hydroxy-Tetrahydrofuran-2-Yl]Methyl Hydrogen Phosphate; [(2R,3S,5R)-5-(2-Amino-6-Oxo-3H-Purin-9-Yl)-3-Hydroxy-2-Tetrahydrofuranyl]Methyl [(2R,3S,5R)-5-(6-Amino-9-Purinyl)-3-Hydroxy-2-Tetrahydrofuranyl]Methyl Hydrogen Phosphate; [(2R,3S,5R)-5-(2-Amino-6-Keto-3H-Purin-9-Yl)-3-Hydroxy-Tetrahydrofuran-2-Yl]Methyl [(2R,3S,5R)-5-(6-Aminopurin-9-Yl)-3-Hydroxy-Tetrahydrofuran-2-Yl]Methyl Hydrogen Phosphate |
|
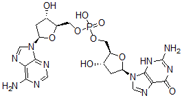
| Molecular Structure |
 |
| Molecular Formula |
C20H25N10O9P |
| Molecular Weight |
580.45 |
| CAS Registry Number |
4282-64-8 |
| SMILES |
[C@@H]3(O[C@@H]([N]1C2=C(N=C1)C(=O)N=C(N2)N)C[C@@H]3O)CO[P](OC[C@H]6O[C@@H]([N]5C4=NC=NC(=C4N=C5)N)C[C@@H]6O)(O)=O |
| InChI |
1S/C20H25N10O9P/c21-16-14-17(24-5-23-16)29(6-25-14)12-1-8(31)10(38-12)3-36-40(34,35)37-4-11-9(32)2-13(39-11)30-7-26-15-18(30)27-20(22)28-19(15)33/h5-13,31-32H,1-4H2,(H,34,35)(H2,21,23,24)(H3,22,27,28,33)/t8-,9-,10+,11+,12+,13+/m0/s1 |
| InChIKey |
KZJLOGLRCNAVAU-LSUSWQKBSA-N |
|