Online Database of Chemicals from Around the World

N-[2-(7-Methoxy-2-Oxo-2H-1-Benzopyran-4-Yl)Acetyl]-L-Seryl-L-alpha-Glutamyl-L-Valyl-L-Asparaginyl-L-Leucyl-L-alpha-Aspartyl-L-Alanyl-L-alpha-Glutamyl-L-Phenylalanyl-L-Arginyl-N6-(2,4-Dinitrophenyl)-L-Lysyl-L-Arginyl-L-Argininamide
[CAS 438625-61-7]

Suppliers
Alfa Chemistry USA
+1 (201) 478-8534
inquiry@alfa-chemistry.com
Chemical distributor since 2012
chemBlink standard supplier since 2012
AnaSpec, Inc. USA
+1 (800) 452-5530
service@anaspec.com
Chemical manufacturer
BOC Sciences USA
+1 (631) 485-4226
info@bocsci.com
Skype Chat
Chemical distributor
chemBlink massive supplier since 2012
Creative Peptides USA
+1 (631) 624-4882
info@creative-peptides.com
Chemical manufacturer
chemBlink massive supplier since 2016
Identification
Name N-[2-(7-Methoxy-2-Oxo-2H-1-Benzopyran-4-Yl)Acetyl]-L-Seryl-L-alpha-Glutamyl-L-Valyl-L-Asparaginyl-L-Leucyl-L-alpha-Aspartyl-L-Alanyl-L-alpha-Glutamyl-L-Phenylalanyl-L-Arginyl-N6-(2,4-Dinitrophenyl)-L-Lysyl-L-Arginyl-L-Argininamide
Synonyms MCA-(ASN670,LEU671)-AMYLOID BETA/A4 PROTEIN PRECURSOR770 (667-676)-LYS(DNP)-ARG-ARG AMIDE; Mca-Ser-Glu-Val-Asn-Leu-Asp-Ala-Glu-Phe-Lys(Dnp)-NH2 (Mca7-Methoxycoumarin-4-Acetyl); Mca-Asn670,Leu671-Amyloid B/A4 Protein Precursor770: 667-676-Lys: Dnp-Arg-Arg Amide
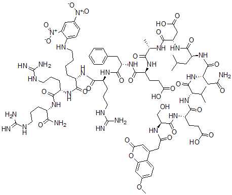
Molecular Structure CAS#: 438625-61-7, N-[2-(7-Methoxy-2-Oxo-2H-1-Benzopyran-4-Yl)Acetyl]-L-Seryl-L-alpha-Glutamyl-L-Valyl-L-Asparaginyl-L-Leucyl-L-alpha-Aspartyl-L-Alanyl-L-alpha-Glutamyl-L-Phenylalanyl-L-Arginyl-N6-(2,4-Dinitrophenyl)-L-Lysyl-L-Arginyl-L-Argininamide
Molecular Formula C84H123N27O27
Molecular Weight 1943.04
CAS Registry Number 438625-61-7
SMILES OC[C@@H](C(=O)N[C@H](C(=O)N[C@H](C(=O)N[C@H](C(=O)N[C@H](C(=O)N[C@H](C(=O)N[C@H](C(=O)N[C@H](C(=O)N[C@H](C(=O)N[C@H](C(=O)N[C@H](C(=O)N[C@H](C(=O)N[C@H](C(=O)N)CCCNC(=N)N)CCCNC(=N)N)CCCCNc1ccc(cc1[N+]
InChI 1S/C84H123N27O27/c1-41(2)33-56(105-79(131)58(38-63(85)113)108-81(133)68(42(3)4)109-75(127)55(26-28-65(116)117)104-80(132)60(40-112)98-46-21-23-48-43(5)34-67(120)138-62(48)36-46)77(129)107-59(39-
Protein Sequence Mca-Ser-Glu-Val-Asn-Leu-Asp-Ala-Glu-Phe-Arg-Lys(Dnp)-Arg-Arg-NH2
Market Analysis Reports
Related Products
N2-[2-(7-Methox...  N-[(7-Methoxy-2...  N-[(7-Methoxy-2...  N2-[(7-Methoxy-...  1-[(7-Methoxy-2...  1-[(7-Methoxy-2...  1-[(7-Methoxy-2...  1-[(7-Methoxy-2...  1-[2-(7-Methoxy...  1-[(7-Methoxy-2...  (2S,3R)-4-Metho...  4-Methoxy-2-(3-...  N-(4-Methoxy-4-...  2-Methoxy-6-(3-...  [(E)-4-Methoxy-...  [(4-Methoxy-4-O...  (4-Methoxy-4-Ox...  7-Methoxy-4-Oxo...  6-Methoxy-4-Oxo...  7-Methoxy-2-Oxo...