Online Database of Chemicals from Around the World

N1-[3-(Dimethylsulfonio)Propyl]-Bleomycinamide Chloride
[CAS 49830-49-1]

Suppliers
Alfa Chemistry USA
+1 (201) 478-8534
inquiry@alfa-chemistry.com
Chemical distributor since 2012
chemBlink standard supplier since 2012
BOC Sciences USA
+1 (631) 485-4226
info@bocsci.com
Skype Chat
Chemical distributor
chemBlink massive supplier since 2012
Identification
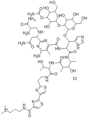
Name N1-[3-(Dimethylsulfonio)Propyl]-Bleomycinamide Chloride
Synonyms N(Sup1)-(3-(Dimethylsulfonio)Propyl)-Bleomycinamidchloride; BLEOMYCIN A2, HYDROCHLORIDE; Bleomycin A2-Hcl
Molecular Structure CAS#: 49830-49-1, N1-[3-(Dimethylsulfonio)Propyl]-Bleomycinamide Chloride
Molecular Formula C55H84ClN17O21S3
Molecular Weight 1451.00
CAS Registry Number 49830-49-1
SMILES OCC1OC(O[C@H]([C@@H](C(=O)N[C@@H]([C@H]([C@@H](C(=O)N[C@H](C(=O)NCCc2scc(n2)c2scc(n2)C(=O)NCCC[S+](C)C)[C@H](O)C)C)O)C)NC(=O)c2nc(nc(c2C)N)[C@H](CC(=O)N)NC[C@@H](C(=O)N)N)c2nc[nH]c2)C(C(C1O)O)OC1OC(CO
InChI InChI=1S/C55H83N17O21S3.ClH/c1-20-33(69-46(72-44(20)58)25(12-31(57)76)64-13-24(56)45(59)82)50(86)71-35(41(26-14-61-19-65-26)91-54-43(39(80)37(78)29(15-73)90-54)92-53-40(81)42(93-55(60)88)38(79)30(16-7
Market Analysis Reports
Related Products
1,2-Dimethyl-3-...  2,3-Dimethyl-5-...  4-[(2,3-Dimethy...  DIMETHYLSULFONA...  (N,S-Dimethylsu...  (1R,2R)-2-Dimet...  2-Dimethylsulfo...  5-Dimethylsulfo...  Dimethylsulfoni...  Dimethylsulfoni...  3-[[2,4-Dimethy...  2-[2-[[5,6-Dime...  N,N-Dimethyl-N-...  (3S,8S,9S,10R,1...  (4R)-4-[(3R,5R,...  2-[[(4R)-4-[(3R...  3-[(2,5-Dimethy...  3-[2,9-Dimethyl...  2-(3-(3,3-Dimet...  1,2-Dimethyl-3-...