Identification
| Name |
Rosaramicin Stearate |
| Synonyms |
2-[(14E)-9-(4-Dimethylamino-3-Hydroxy-6-Methyl-Tetrahydropyran-2-Yl)Oxy-3-Ethyl-7-Hydroxy-2,8,12,16-Tetramethyl-5,13-Dioxo-4,17-Dioxabicyclo[14.1.0]Heptadec-14-En-10-Yl]Acetaldehyde; Stearic Acid; 2-[(14E)-9-[(4-Dimethylamino-3-Hydroxy-6-Methyl-2-Tetrahydropyranyl)Oxy]-3-Ethyl-7-Hydroxy-2,8,12,16-Tetramethyl-5,13-Dioxo-4,17-Dioxabicyclo[14.1.0]Heptadec-14-En-10-Yl]Acetaldehyde; Stearic Acid; 2-[(14E)-9-(4-Dimethylamino-3-Hydroxy-6-Methyl-Tetrahydropyran-2-Yl)Oxy-3-Ethyl-7-Hydroxy-5,13-Diketo-2,8,12,16-Tetramethyl-4,17-Dioxabicyclo[14.1.0]Heptadec-14-En-10-Yl]Acetaldehyde; Stearic Acid |
|
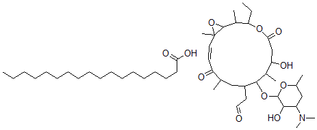
| Molecular Structure |
 |
| Molecular Formula |
C49H87NO11 |
| Molecular Weight |
866.23 |
| CAS Registry Number |
51547-64-9 |
| SMILES |
C(C3OC(=O)CC(O)C(C(OC1OC(CC(N(C)C)C1O)C)C(CC(C(=O)/C=C/C2(OC2C3C)C)C)CC=O)C)C.C(C(=O)O)CCCCCCCCCCCCCCCC |
| InChI |
1S/C31H51NO9.C18H36O2/c1-9-25-20(5)29-31(6,41-29)12-10-23(34)17(2)14-21(11-13-33)28(19(4)24(35)16-26(36)39-25)40-30-27(37)22(32(7)8)15-18(3)38-30;1-2-3-4-5-6-7-8-9-10-11-12-13-14-15-16-17-18(19)20/h10,12-13,17-22,24-25,27-30,35,37H,9,11,14-16H2,1-8H3;2-17H2,1H3,(H,19,20)/b12-10+; |
| InChIKey |
NTRKBPHPPMYMKJ-VHPXAQPISA-N |
|