Online Database of Chemicals from Around the World

3-[[2-(1-Naphtylacetyl)Hydrazono]Methyl]Rifamycin
[CAS 51707-04-1]

Suppliers
CAS#: 51707-04-1
Product: 3-[[2-(1-Naphtylacetyl)Hydrazono]Methyl]Rifamycin
No suppilers available for the product.
Identification
Name 3-[[2-(1-Naphtylacetyl)Hydrazono]Methyl]Rifamycin
Synonyms Brn 5403262
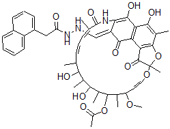
Molecular Structure CAS#: 51707-04-1, 3-[[2-(1-Naphtylacetyl)Hydrazono]Methyl]Rifamycin
Molecular Formula C50H57N3O13
Molecular Weight 908.01
CAS Registry Number 51707-04-1
SMILES C6=C(CC(=O)NN/C=C2/C(=O)C1=C3C(=C(C4=C1C(=O)C(O/C=C/C(OC)C(C(OC(=O)C)C(C(O)C(C(O)C(C)\C=C\C=C(C(=O)NC2=C3O)\C)C)C)C)(O4)C)C)O)C5=CC=CC=C5C=C6
InChI 1S/C50H57N3O13/c1-24-14-12-15-25(2)49(62)52-40-34(23-51-53-36(55)22-32-18-13-17-31-16-10-11-19-33(31)32)44(59)37-38(45(40)60)43(58)29(6)47-39(37)48(61)50(8,66-47)64-21-20-35(63-9)26(3)46(65-30(7)54)28(5)42(57)27(4)41(24)56/h10-21,23-24,26-28,35,41-42,46,51,56-58,60H,22H2,1-9H3,(H,52,62)(H,53,55)/b14-12+,21-20+,25-15-,34-23+
InChIKey RBWQLWQXAHLGFA-VJXXSDPMSA-N
Market Analysis Reports
Related Products
4-(1,7-Naphthyr...  2-(1,8-Naphthyr...  4-(1,8-Naphthyr...  1-(2,7-Naphthyr...  2-(1,8-naphthyr...  4-(1,8-Naphthyr...  2-(1,8-Naphthyr...  4-(1,6-Naphthyr...  1,6-Naphthyridi...  Naphto[2,3-B]Fl...  2-(2-Naphtylami...  1-Naphtylarsoni...  2-(2-Naphtyl)Be...  3-(2-Naphtyl)Be...  4-[3-(1-Naphtyl...  N-(1-Naphtyl)Ca...  1-Naphtyl(2-Chl...  1-(1-Naphtyl)-2...  N-(2-Naphtyl)Is...  N-(1-Naphtyl)Is...