Online Database of Chemicals from Around the World

Chlorophyll B
[CAS 519-62-0]

List of Suppliers
Sunwell Chemicals Co., Ltd. China
www.sunwell-chem.com
+86 (571) 8724-3911
+86 (571) 8724-3922
sales@sunwell-chem.com
Chemical manufacturer
chemBlink Standard supplier since 2009
Extrasynthese Chemical S.A.S. France
www.extrasynthese.com
+33 (47) 898-2034
+33 (47) 898-1945
info@extrasynthese.com
Chemical manufacturer
chemBlink Standard supplier since 2009
BOC Sciences USA
www.bocsci.com
+1 (631) 485-4226
+1 (631) 614-7828
info@bocsci.com
Chemical manufacturer
chemBlink Standard supplier since 2010
Chiron AS Norway
www.chiron.no
+47 (73) 874-490
+47 (73) 874-499
chiron@chiron.no
Chemical manufacturer

Identification
ClassificationOrganic raw materials >> Aldehyde
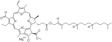
NameChlorophyll B
Synonyms(SP-4-2)-((2E,7R,11R)-3,7,11,15-Tetramethyl-2-hexadecenyl (3S,4S,21R)-9-ethenyl-14-ethyl-13-formyl-21-(methoxycarbonyl)-4,8,18-trimethyl-20-oxo-3-phorbinepropanoato(2-)-N23,N24,N25,N26]-magnesium
Molecular StructureChlorophyll B molecular structure (CAS 519-62-0)
Molecular FormulaC55H70MgN4O6
Molecular Weight907.47
CAS Registry Number519-62-0
EC Number208-272-4
Safety Data
SDSAvailable
Market Analysis Reports
Related Products
5-Chlorophthali...  3-Chlorophthali...  7-Chlorophthali...  N-Chlorophthali...  4-Chlorophthali...  1-Chloro-3-phth...  (Sp-5-12)-Chlor...  Chlorophyll  Chlorophyll A'  Chlorophyll a  Chlorophyll D  Chlorophyllide ...  Chlorophyllide ...  Chlorophyllin  Chlorophyllin b  Chlorophyllin c...  Chlorophyllin f...  Chlorophyllin I...  Chlorophyllins ...  Chlorophyllin s...