Online Database of Chemicals from Around the World

3-[(5,6-Dibromohexyl)Oxyiminomethyl]Rifamycin
[CAS 52454-12-3]

Suppliers
CAS#: 52454-12-3
Product: 3-[(5,6-Dibromohexyl)Oxyiminomethyl]Rifamycin
No suppilers available for the product.
Identification
Name 3-[(5,6-Dibromohexyl)Oxyiminomethyl]Rifamycin
Synonyms Brn 5418755; 2,7-(Epoxypentadeca(1,11,13)Trienimino)Naphtho(2,1-B)Furan-1,11(2H)-Dione, 3-Formyl-5,6,9,17,19,21-Hexahydroxy-23-Methoxy-2,4,12,16,18,20,22-Heptamethyl-, 21-Acetate, O-(5,6-Dibromohexyl)Oxime
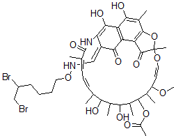
Molecular Structure CAS#: 52454-12-3, 3-[(5,6-Dibromohexyl)Oxyiminomethyl]Rifamycin
Molecular Formula C44H58Br2N2O13
Molecular Weight 982.76
CAS Registry Number 52454-12-3
SMILES C(CON/C=C2/C(=O)C1=C3C(=C(C4=C1C(=O)C(O/C=C/C(OC)C(C(OC(=O)C)C(C(O)C(C(O)C(C)\C=C\C=C(C(=O)NC2=C3O)\C)C)C)C)(O4)C)C)O)CCC(Br)CBr
InChI 1S/C44H58Br2N2O13/c1-21-13-12-14-22(2)43(56)48-34-29(20-47-59-17-11-10-15-28(46)19-45)38(53)31-32(39(34)54)37(52)26(6)41-33(31)42(55)44(8,61-41)58-18-16-30(57-9)23(3)40(60-27(7)49)25(5)36(51)24(4)35(21)50/h12-14,16,18,20-21,23-25,28,30,35-36,40,47,50-52,54H,10-11,15,17,19H2,1-9H3,(H,48,56)/b13-12+,18-16+,22-14-,29-20+
InChIKey MVDQQTGSDCJPOO-HXGAGQAPSA-N
Market Analysis Reports
Related Products
2,5-Dibromohexa...  1,2-Dibromohexa...  1,5-Dibromohexa...  1,6-Dibromohexa...  2,3-Dibromohexa...  2,5-Dibromo-3,4...  2,6-Dibromohexa...  1,2-Dibromo-5-H...  (3E)-1,6-Dibrom...  2,7-Dibromo-9-h...  2,5-Dibromo-3-h...  2,5-Dibromo-3-h...  4,7-Dibromo-2-h...  3,5-Dibromo-2-H...  2,5-Dibromohydr...  3',5'-Dibromo-2...  3',5'-Dibromo-4...  3,5-Dibromo-4-h...  2,4-Dibromo-5-H...  3,5-Dibromo-4-H...