Online Database of Chemicals from Around the World

Murodermin
[CAS 54017-73-1]

Suppliers
BOC Sciences USA
+1 (631) 485-4226
info@bocsci.com
Skype Chat
Chemical distributor
chemBlink massive supplier since 2012
Identification
Name Murodermin
Synonyms Mouse Epidermal Growth Factor; Murine Epidermal Growth Factor; Murodermin
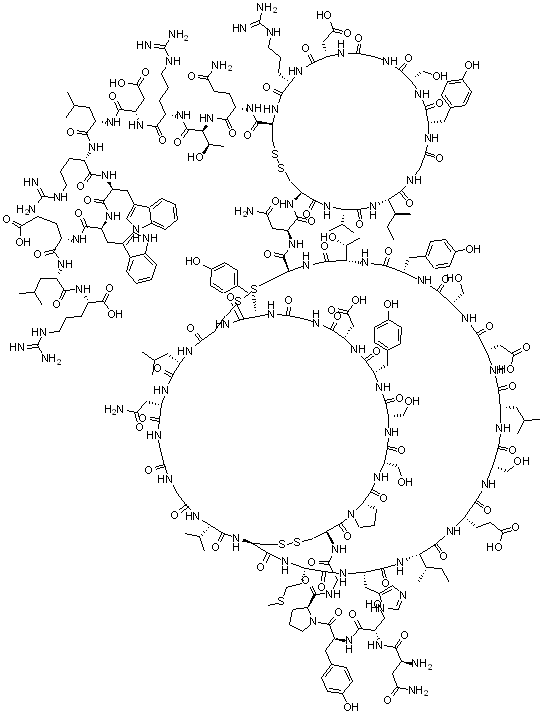
Molecular Structure CAS#: 54017-73-1, Murodermin
Molecular Formula C257H375N73O83S7
Molecular Weight 6039.65
CAS Registry Number 54017-73-1
SMILES [C@@H]1(N(CCC1)C(=O)[C@@H](NC(=O)[C@@H](NC(=O)[C@@H](N)CC(=O)N)CO)CC2=CC=C(O)C=C2)C(=O)NCC(=O)N[C@@H]6C(=O)N3[C@@H](CCC3)C(=O)N[C@@H](CO)C(=O)N[C@@H](CO)C(=O)N[C@@H](CC4=CC=C(O)C=C4)C(=O)N[C@@H](CC(O)=O)C(=O)NCC(=O)N[C@@H](CC5=CC=C(O)C=C5)C(=O)N[C@@H]8C(=O)N[C@@H](CC(C)C)C(=O)N[C@H](C(=O)NCC(=O)NCC(=O)N[C@H](C(=O)N[C@@H](CSSC6)C(=O)N[C@@H](CCSC)C(=O)N[C@@H](CC7=CN=C[NH]7)C(=O)N[C@@H]([C@H](CC)C)C(=O)N[C@@H](CCC(O)=O)C(=O)N[C@@H](CO)C(=O)N[C@@H](CC(C)C)C(=O)N[C@@H](CC(O)=O)C(=O)N[C@H](C(=O)N[C@H](C(=O)N[C@H](C(=O)N[C@@H](CSSC8)C(=O)N[C@H](C(=O)N[C@@H]%10C(=O)N[C@@H](C(C)C)C(=O)N[C@@H]([C@H](CC)C)C(=O)NCC(=O)N[C@@H](CC9=CC=C(O)C=C9)C(=O)N[C@@H](CO)C(=O)NCC(=O)N[C@H](C(=O)N[C@H](C(=O)N[C@@H](CSSC%10)C(=O)N[C@H](C(=O)N[C@H](C(=O)N[C@@H](CCCNC(N)=N)C(=O)N[C@H](C(=O)N[C@@H](CC(C)C)C(=O)N[C@@H](CCCNC(N)=N)C(=O)N[C@@H](CC%11=C[NH]C%12=CC=CC=C%11%12)C(=O)N[C@@H](CC%13=C[NH]C%14=CC=CC=C%13%14)C(=O)N[C@@H](CCC(O)=O)C(=O)N[C@@H](CC(C)C)C(=O)N[C@@H](CCCNC(N)=N)C(O)=O)CC(O)=O)[C@H](O)C)CCC(=O)N)CCCNC(N)=N)CC(O)=O)CC(=O)N)[C@H](O)C)CC%15=CC=C(O)C=C%15)CO)C(C)C)CC(=O)N
InChI 1S/C257H375N73O83S7/c1-20-123(15)203-245(404)283-103-192(351)285-157(80-127-42-52-135(339)53-43-127)222(381)313-171(104-331)210(369)281-101-191(350)287-167(92-198(360)361)228(387)290-146(37-27-70-273-255(265)266)213(372)318-177(238(397)292-148(62-65-185(259)344)217(376)327-205(125(17)337)249(408)294-147(38-28-71-274-256(267)268)212(371)309-168(93-199(362)363)229(388)298-153(76-117(3)4)218(377)289-145(36-26-69-272-254(263)264)211(370)303-162(86-133-96-277-144-35-25-23-33-141(133)144)226(385)304-161(85-132-95-276-143-34-24-22-32-140(132)143)225(384)291-149(63-66-195(354)355)214(373)297-154(77-118(5)6)219(378)296-152(253(412)413)39-29-72-275-257(269)270)110-415-418-114-181(242(401)324-202(122(13)14)247(406)326-203)320-227(386)165(90-188(262)347)307-241(400)180-113-417-416-111-178-240(399)300-156(79-120(9)10)220(379)306-164(89-187(261)346)208(367)279-98-189(348)278-99-194(353)323-201(121(11)12)246(405)321-179(239(398)293-151(68-75-414-19)216(375)305-163(87-134-97-271-116-284-134)232(391)325-204(124(16)21-2)248(407)295-150(64-67-196(356)357)215(374)314-173(106-333)233(392)299-155(78-119(7)8)221(380)310-169(94-200(364)365)230(389)315-174(107-334)234(393)302-160(83-130-48-58-138(342)59-49-130)231(390)328-206(126(18)338)250(409)322-180)112-419-420-115-182(288-193(352)102-282-243(402)183-40-30-73-329(183)251(410)170(84-131-50-60-139(343)61-51-131)311-236(395)172(105-332)312-207(366)142(258)88-186(260)345)252(411)330-74-31-41-184(330)244(403)317-176(109-336)237(396)316-175(108-335)235(394)301-159(82-129-46-56-137(341)57-47-129)224(383)308-166(91-197(358)359)209(368)280-100-190(349)286-158(223(382)319-178)81-128-44-54-136(340)55-45-128/h22-25,32-35,42-61,95-97,116-126,142,145-184,201-206,276-277,331-343H,20-21,26-31,36-41,62-94,98-115,258H2,1-19H3,(H2,259,344)(H2,260,345)(H2,261,346)(H2,262,347)(H,271,284)(H,278,348)(H,279,367)(H,280,368)(H,281,369)(H,282,402)(H,283,404)(H,285,351)(H,286,349)(H,287,350)(H,288,352)(H,289,377)(H,290,387)(H,291,384)(H,292,397)(H,293,398)(H,294,408)(H,295,407)(H,296,378)(H,297,373)(H,298,388)(H,299,392)(H,300,399)(H,301,394)(H,302,393)(H,303,370)(H,304,385)(H,305,375)(H,306,379)(H,307,400)(H,308,383)(H,309,371)(H,310,380)(H,311,395)(H,312,366)(H,313,381)(H,314,374)(H,315,389)(H,316,396)(H,317,403)(H,318,372)(H,319,382)(H,320,386)(H,321,405)(H,322,409)(H,323,353)(H,324,401)(H,325,391)(H,326,406)(H,327,376)(H,328,390)(H,354,355)(H,356,357)(H,358,359)(H,360,361)(H,362,363)(H,364,365)(H,412,413)(H4,263,264,272)(H4,265,266,273)(H4,267,268,274)(H4,269,270,275)/t123-,124-,125+,126+,142-,145-,146-,147-,148-,149-,150-,151-,152-,153-,154-,155-,156-,157-,158-,159-,160-,161-,162-,163-,164-,165-,166-,167-,168-,169-,170-,171-,172-,173-,174-,175-,176-,177-,178-,179-,180-,181-,182-,183-,184-,201-,202-,203-,204-,205-,206-/m0/s1
InChIKey WLGOTMXHWBRTJA-GACYYNSASA-N
Market Analysis Reports
Related Products
Muramyl Pentape...  Muramyl Tripept...  Mureidomycin E;...  Mureidomycin F;...  Murexide;Ammoni...  Murexine;2-[(E)...  Murine 6 ckine  Muristerone A;(...  Murocainide;1-[...  Muroctasine;Rom...  Murolic Acid;(2...  Murralongin  Murrangatin  Murrangatin dia...  Murraol  Murraxocin  Murrayacarpin B...  Murrayone;7-Met...  Musa paradisiac...  (+)-Muscarine I...