Online Database of Chemicals from Around the World

Ramihyphin A
[CAS 55126-45-9]

Suppliers
CAS#: 55126-45-9
Product: Ramihyphin A
No suppilers available for the product.
Identification
Name Ramihyphin A
Synonyms (3S,6S,9S,12R,15S,18S,21S,24S,30S,33S)-30-Ethyl-33-[(E,1R,2R)-1-Hydroxy-2-Methyl-Pent-3-Enyl]-3,6,9,18,24-Pentaisobutyl-21-Isopropyl-1,4,7,10,12,15,19,25,28-Nonamethyl-1,4,7,10,13,16,19,22,25,28,31-Undecazacyclotritriacontane-2,5,8,11,14,17,20,23,26,29,32-Undecone; (3S,6S,9S,12R,15S,18S,21S,24S,30S,33S)-30-Ethyl-33-[(E,1R,2R)-1-Hydroxy-2-Methylpent-3-Enyl]-3,6,9,18,24-Pentaisobutyl-21-Isopropyl-1,4,7,10,12,15,19,25,28-Nonamethyl-1,4,7,10,13,16,19,22,25,28,31-Undecazacyclotritriacontane-2,5,8,11,14,17,20,23,26,29,32-Undecone; (3S,6S,9S,12R,15S,18S,21S,24S,30S,33S)-30-Ethyl-33-[(E,1R,2R)-1-Hydroxy-2-Methyl-Pent-3-Enyl]-1,4,7,10,12,15,19,25,28-Nonamethyl-3,6,9,18,24-Pentakis(2-Methylpropyl)-21-Propan-2-Yl-1,4,7,10,13,16,19,22,25,28,31-Undecazacyclotritriacontane-2,5,8,11,14,17,20,23,26,29,32-Undecone
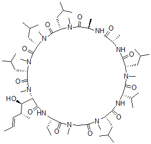
Molecular Structure CAS#: 55126-45-9, Ramihyphin A
Molecular Formula C62H111N11O12
Molecular Weight 1202.63
CAS Registry Number 55126-45-9
SMILES [C@H]1(N(C(=O)[C@@H](N(C(=O)[C@@H](N(C(=O)[C@@H](N(C(=O)[C@H](NC(=O)[C@@H](NC(=O)[C@@H](N(C(=O)[C@@H](NC(=O)[C@@H](N(C(=O)CN(C(=O)[C@@H](NC1=O)CC)C)C)CC(C)C)C(C)C)C)CC(C)C)C)C)C)CC(C)C)C)CC(C)C)C)CC(C)C)C)[C@H](O)[C@@H](\C=C\C)C
InChI 1S/C62H111N11O12/c1-25-27-40(15)52(75)51-56(79)65-43(26-2)58(81)67(18)33-49(74)68(19)44(28-34(3)4)55(78)66-50(39(13)14)62(85)69(20)45(29-35(5)6)54(77)63-41(16)53(76)64-42(17)57(80)70(21)46(30-36(7)8)59(82)71(22)47(31-37(9)10)60(83)72(23)48(32-38(11)12)61(84)73(51)24/h25,27,34-48,50-52,75H,26,28-33H2,1-24H3,(H,63,77)(H,64,76)(H,65,79)(H,66,78)/b27-25+/t40-,41+,42-,43+,44+,45+,46+,47+,48+,50+,51+,52-/m1/s1
InChIKey DDPJWUQJQMKQIF-XPNZOOHZSA-N
Properties
Density 1.014g/cm3 (Cal.)
Boiling point 1290.836°C at 760 mmHg (Cal.)
Flash point 734.471°C (Cal.)
Market Analysis Reports
Related Products
Raltegravir;N-(...  Raltegravir pot...  Raltitrexed;(S)...  Ralufon (R) 14  Ramacemide;(+/-...  Ramatroban;3R-[...  Ramelteon;(S)-N...  (R)-Ramelteon  Ramelteon Impur...  Ramelteon Metab...  Ramipril-d5;(2S...  ent-Ramipril  (2R,3aR,6aR)-Ra...  2-epi-Ramipril  Ramipril;(2S,3a...  Ramipril Acyl-b...  Ramiprilat;(2S,...  Ramiprilat Acyl...  Ramiprilat-d3  Ramipril Benzyl...