Identification
| Name |
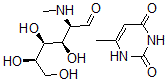
2-Deoxy-2-(methylamino)-D-Glucose compd. with 6-methyl-2,4(1H,3H)-pyrimidinedione |
| Synonyms |
6-Methyl-1H-Pyrimidine-2,4-Dione; (2R,3R,4S,5R)-3,4,5,6-Tetrahydroxy-2-Methylamino-Hexanal; 6-Methyluracil; (2R,3R,4S,5R)-3,4,5,6-Tetrahydroxy-2-Methylamino-Hexanal; Amigluracil |
|
| Molecular Structure |
 |
| Molecular Formula |
C12H21N3O7 |
| Molecular Weight |
319.31 |
| CAS Registry Number |
55696-52-1 |
| SMILES |
[C@H](O)([C@H](O)[C@H](O)CO)[C@@H](NC)C=O.CC1=CC(=O)NC(=O)N1 |
| InChI |
1S/C7H15NO5.C5H6N2O2/c1-8-4(2-9)6(12)7(13)5(11)3-10;1-3-2-4(8)7-5(9)6-3/h2,4-8,10-13H,3H2,1H3;2H,1H3,(H2,6,7,8,9)/t4-,5+,6+,7+;/m0./s1 |
| InChIKey |
ZXIQQMVTNKKTIW-LJTMIZJLSA-N |
|