Online Database of Chemicals from Around the World

5-[Bis(Trimethylsilyl)Amino]-2-{[Bis(Trimethylsilyl)Amino]Methyl}-2-[(Trimethylsilyl)Oxy]Hexanedioic Acid
[CAS 56247-64-4]

Suppliers
CAS#: 56247-64-4
Product: 5-[Bis(Trimethylsilyl)Amino]-2-{[Bis(Trimethylsilyl)Amino]Methyl}-2-[(Trimethylsilyl)Oxy]Hexanedioic Acid
No suppilers available for the product.
Identification
Name 5-[Bis(Trimethylsilyl)Amino]-2-{[Bis(Trimethylsilyl)Amino]Methyl}-2-[(Trimethylsilyl)Oxy]Hexanedioic Acid
Synonyms 2-[Bis(trimethylsilyl)amino]-5-c-([bis(trimethylsilyl)amino]methyl)-2,3,4-trideoxy-5-O-(trimethylsilyl)hexaric acid; 2-[Bis(trimethylsilyl)amino]-5-c-([bis(trimethylsilyl)amino]methyl)-2,3,4-trideoxy-5-O-(trimethylsilyl)hexaric acid #; Hexanedioic acid, 5-[bis(trimethylsilyl)amino]-2-[[bis(trimethylsilyl)amino]methyl]-2-[(trimethylsilyl)oxy]-
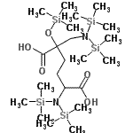
Molecular Structure CAS#: 56247-64-4, 5-[Bis(Trimethylsilyl)Amino]-2-{[Bis(Trimethylsilyl)Amino]Methyl}-2-[(Trimethylsilyl)Oxy]Hexanedioic Acid
Molecular Formula C22H54N2O5Si5
Molecular Weight 567.10
CAS Registry Number 56247-64-4
SMILES O=C(O)C(N([Si](C)(C)C)[Si](C)(C)C)CCC(O[Si](C)(C)C)(C(=O)O)CN([Si](C)(C)C)[Si](C)(C)C
InChI 1S/C22H54N2O5Si5/c1-30(2,3)23(31(4,5)6)18-22(21(27)28,29-34(13,14)15)17-16-19(20(25)26)24(32(7,8)9)33(10,11)12/h19H,16-18H2,1-15H3,(H,25,26)(H,27,28)
InChIKey NYDDVNYPZBYTHW-UHFFFAOYSA-N
Properties
Density 0.976g/cm3 (Cal.)
Boiling point 542.093°C at 760 mmHg (Cal.)
Flash point 281.648°C (Cal.)
Market Analysis Reports
Related Products
1,2-Bis(trimeth...  3-(Bis(Trimethy...  Bis(Trimethylsi...  N,N-Bis(trimeth...  N,O-Bis(trimeth...  Bis(trimethylsi...  Bis(Trimethylsi...  N-6,9-Bis(Trime...  Bis(trimethylsi...  Bis(trimethylsi...  [(Bis(Trimethyl...  3-[Bis(Trimethy...  Bis{4-[(Trimeth...  4-[Bis(Trimethy...  Bis(trimethylsi...  2 4-Bis(Trimeth...  1,4-Bis(trimeth...  1,3-Bis(Trimeth...  3,5-Bis(Trimeth...  4-[[3,5-Bis(tri...