Online Database of Chemicals from Around the World

Quaternium-52
[CAS 58069-11-7]

Suppliers
BOC Sciences USA
+1 (631) 485-4226
info@bocsci.com
Skype Chat
Chemical distributor
chemBlink massive supplier since 2012
Identification
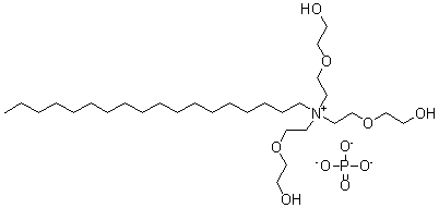
Name Quaternium-52
Synonyms Tris[2-(2-Hydroxyethoxy)Ethyl]-Octadecyl-Ammonium Phosphate; Tris[2-(2-Hydroxyethoxy)Ethyl]-Octadecylammonium Phosphate; Tris[2-(2-Hydroxyethoxy)Ethyl]-Stearyl-Ammonium Phosphate
Molecular Structure CAS#: 58069-11-7, Quaternium-52
Molecular Formula C30H64NO10P
Molecular Weight 629.81
CAS Registry Number 58069-11-7
SMILES O=[P]([O-])([O-])[O-].C([N+](CCOCCO)(CCOCCO)CCOCCO)CCCCCCCCCCCCCCCCC
InChI 1S/C30H64NO6.H3O4P/c1-2-3-4-5-6-7-8-9-10-11-12-13-14-15-16-17-18-31(19-25-35-28-22-32,20-26-36-29-23-33)21-27-37-30-24-34;1-5(2,3)4/h32-34H,2-30H2,1H3;(H3,1,2,3,4)/q+1;/p-3
InChIKey GUIWIPNQQLZJIE-UHFFFAOYSA-K
Market Analysis Reports
Related Products
Quaternary ammo...  Quaternary ammo...  Quaternary Ammo...  Quaternary Ammo...  Quaternary Ammo...  Quaternium-16  Quaternium-22;2...  Quaternium 24;D...  Quaternium 27;A...  Quaternium-33  Quaternium 73;K...  Quaternium-80  Quaternium 18-h...  1,1':3',1'':3''...  p-Quaterphenyl;...  o-Quaterphenyl;...  1,1:4,1:4,1-Qua...  3,2':5',3'':6''...  2,2':5',2'':5''...  Quazepam;7-Chlo...