Online Database of Chemicals from Around the World

Diazoniumphenyl Lactoside
[CAS 58273-72-6]

Suppliers
CAS#: 58273-72-6
Product: Diazoniumphenyl Lactoside
No suppilers available for the product.
Identification
Name Diazoniumphenyl Lactoside
Synonyms 4-[(2S,3R,4R,5S,6R)-3,4-Dihydroxy-6-(Hydroxymethyl)-5-[(2S,3R,4S,5R,6R)-3,4,5-Trihydroxy-6-(Hydroxymethyl)Tetrahydropyran-2-Yl]Oxy-Tetrahydropyran-2-Yl]Oxybenzenediazonium; 4-[[(2S,3R,4R,5S,6R)-3,4-Dihydroxy-6-(Hydroxymethyl)-5-[[(2S,3R,4S,5R,6R)-3,4,5-Trihydroxy-6-(Hydroxymethyl)-2-Tetrahydropyranyl]Oxy]-2-Tetrahydropyranyl]Oxy]Benzenediazonium; 4-[(2S,3R,4R,5S,6R)-3,4-Dihydroxy-6-Methylol-5-[(2S,3R,4S,5R,6R)-3,4,5-Trihydroxy-6-Methylol-Tetrahydropyran-2-Yl]Oxy-Tetrahydropyran-2-Yl]Oxybenzenediazonium
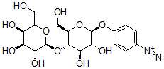
Molecular Structure CAS#: 58273-72-6, Diazoniumphenyl Lactoside
Molecular Formula C18H25N2O11
Molecular Weight 445.40
CAS Registry Number 58273-72-6
SMILES [C@H]3(OC1=CC=C(C=C1)[N+]#N)[C@H](O)[C@@H](O)[C@H](O[C@H]2[C@H](O)[C@@H](O)[C@@H](O)[C@H](O2)CO)[C@H](O3)CO
InChI 1S/C18H25N2O11/c19-20-7-1-3-8(4-2-7)28-17-15(27)13(25)16(10(6-22)30-17)31-18-14(26)12(24)11(23)9(5-21)29-18/h1-4,9-18,21-27H,5-6H2/q+1/t9-,10-,11+,12+,13-,14-,15-,16-,17-,18+/m1/s1
InChIKey HFWMZCGPYDUITR-MUKCROHVSA-N
Market Analysis Reports
Related Products
2-[8-[[(4-Diazo...  (Z)-1-Diazoniop...  1-Diazonio-4-su...  (1E)-2-Diazonio...  (Z)-2-Diazonio-...  (E)-1-Diazoniou...  1-Diazo-1-Nitro...  3-Diazo-N-Nitro...  Diazo-N-Nitroso...  4-Diazoniumbenz...  P-Diazonium Phe...  (Z)-3-(4-Diazo-...  3-Diazo-4-Oxo-3...  2-Diazo-5-oxohe...  [3-[(6-diazo-5-...  Diazooxonorleuc...  6-Diazo-5-Oxo-D...  6-Diazo-5-Oxo-N...  5-Diazo-4-Oxono...  N-(2-((5-Diazo-...