Online Database of Chemicals from Around the World

Phallisacin
[CAS 58286-46-7]

Suppliers
CAS#: 58286-46-7
Product: Phallisacin
No suppilers available for the product.
Identification
Name Phallisacin
Synonyms Phallisacin
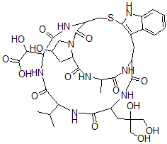
Molecular Structure CAS#: 58286-46-7, Phallisacin
Molecular Formula C37H50N8O14S
Molecular Weight 862.91
CAS Registry Number 58286-46-7
SMILES C5=C4C3=C(SCC1NC(=O)C(NC(=O)C(NC(=O)C(NC(=O)C(NC(=O)C(NC(=O)C2N(C1=O)CC(O)C2)C)C3)CC(O)(CO)CO)C(C)C)C(O)C(=O)O)[NH]C4=CC=C5
InChI 1S/C37H50N8O14S/c1-15(2)25-32(54)44-26(27(49)36(57)58)33(55)41-23-12-60-34-19(18-6-4-5-7-20(18)42-34)9-21(29(51)40-22(30(52)43-25)10-37(59,13-46)14-47)39-28(50)16(3)38-31(53)24-8-17(48)11-45(24)35(23)56/h4-7,15-17,21-27,42,46-49,59H,8-14H2,1-3H3,(H,38,53)(H,39,50)(H,40,51)(H,41,55)(H,43,52)(H,44,54)(H,57,58)
InChIKey CUMAQJMTVOVGKD-UHFFFAOYSA-N
Properties
Density 1.584g/cm3 (Cal.)
Boiling point 1512.122°C at 760 mmHg (Cal.)
Flash point 868.3°C (Cal.)
Market Analysis Reports
Related Products
Pglu-D-Phe-Trp-...  Pglu-Pro-Val-Pa...  PH 797804;3-Bro...  PHA 665752;(2R)...  PHA-680626  PHA-793887;3-Me...  PHA 848125;4,5-...  Phacolysine;Aza...  Phage M2 Termin...  Phallacidin;P81...  Phallisin;Brn 3...  Phalloidin;C084...  Phalloin;Phallo...  (S)-Phanephos;(...  Phanquone;4,7-P...  Phantomolin;2-P...  2D-Pharmalyte  Phasealloy;Phas...  Phaseolic Acid;...  Phaseolin;(6bR-...